| 索 引 号: | 11370104597024629Y-A/2025-6662338 | 主题分类: | 其他 |
|---|---|---|---|
| 成文日期: | 2025-06-20 | 发布日期: | 2025-06-20 |
| 发布机关: | 槐荫区人民政府办公室 | 统一编号: | 无 |
| 标 题: | 槐荫区人民政府办公室关于印发槐荫区防汛抗旱应急预案的通知 | ||
| 发文字号: | 槐政办字〔2025〕3号 | 有 效 性: | 0 |
| 发布机关: | 槐荫区人民政府办公室 |
|---|---|
| 主题分类: | 其他 |
| 成文日期: | 2025-06-20 |
| 发布日期: | 2025-06-20 |
| 发布机关: | 槐荫区人民政府办公室 |
| 统一编号: | 无 |
| 标 题: | 槐荫区人民政府办公室关于印发槐荫区防汛抗旱应急预案的通知 |
| 发文字号: | 槐政办字〔2025〕3号 |
| 有 效 性: | 0 |
槐荫区人民政府办公室
关于印发槐荫区防汛抗旱应急预案的通知
槐政办字〔2025〕3号
各街道办事处,区政府有关部门:
经区政府同意,现将《槐荫区防汛抗旱应急预案》印发给你们,请认真组织实施。
槐荫区人民政府办公室
2025年6月20日
(此件公开发布)
目 录
1 总则 5
1.1 基本情况 5
1.2 历史灾害 7
1.3 防汛特点 8
1.4 编制目的 9
1.5 编制依据 9
1.6 适用范围 9
1.7 工作原则 10
2 组织体系与职责 10
2.1 区级防汛抗旱指挥机构 10
2.2 现场应急指挥部 12
2.3 街道办事处防汛指挥机构 17
2.4 其他防汛指挥机构 17
2.5 会商机制 17
3 应急准备 18
3.1 明确责任 18
3.2 工程准备 18
3.3 预案准备 18
3.4 物资、队伍准备 19
3.5 转移安置准备 20
3.6 救灾救助准备 20
3.7 防汛抗旱检查 21
3.8 技术准备 21
3.9 宣传培训 21
4 监测预警 21
4.1 监测 21
4.2 预警 23
4.3 预警程序 23
5 应急响应 26
5.1 总体要求 26
5.2 四级应急响应 27
5.3 三级应急响应 32
5.4 二级应急响应 39
5.5 一级应急响应 45
5.6 应急响应调整 50
5.7 响应结束 50
6 信息报告与发布 50
6.1 信息报告 50
6.2 信息发布 51
7 后期处置 52
7.1 水毁工程修复 52
7.2 灾后重建 52
7.3 保险理赔 52
7.4 生活安置 53
7.5 其他工作 53
7.6 总结评估 53
8 保障措施 53
8.1 后勤保障 53
8.2 应急队伍保障 54
8.3 通信与信息保障 54
8.4 交通运输保障 54
8.5 物资保障 54
8.6 人员转移保障 54
9 监督管理 55
9.1 宣传教育 55
9.2 培训 55
9.3 演练 55
9.4 责任与奖惩 55
10 附则 56
10.1 名词术语 56
10.2 预案管理 57
附件 59
1. 总则
1.1 基本情况
1.1.1 基本情况
槐荫区位于济南市区西部,东与天桥区、市中区接壤,南与市中区相邻,西与长清区相连,北与德州市齐河县隔黄河相望,土地总面积151.48平方公里。辖区内16个街道办事处,106个社区居民委员会,93个村民委员会。
我区属暖温带半湿润大陆性季风气候,年内四季分明,温差变化较大。冬季多东北风,寒冷干燥,降水量少。夏季高温炎热,多东南风和西南风,冷暖空气活动频繁,是暴雨多发期。多年平均降雨量为617.2mm,6-9月份降雨量为467.2mm,占全年降雨量的75.5%,降水量年际变化较大,如1962年降雨量1145mm,1968年降雨量仅有336mm。
受地理位置及季风气候影响,我区旱灾多发生在春、秋季,时有春夏连旱,严重影响春播及农作物的生长,造成夏粮减产。根据多年规律,旱灾发生的时间一般是:春旱在3至5月份,初夏旱在6月下旬至7月上旬,伏旱在7月中旬至8月上旬,秋旱在8月下旬至10月中旬,即旱灾一般发生在春季和晚秋,若冬春连旱则会发生特大旱灾。
1.1.2 防洪排涝体系
1.1.2.1 河流水系
槐荫区水系主要有黄河和小清河两大水系。主要河流有黄河、小清河、玉符河、腊山河、兴济河、南太平河、北太平河等。
黄河:槐荫黄河河道上起吴家堡街道办事处北店子村,下止美里湖街道办事处刘七沟村,河道长度为14.25km,纵比降约为万分之一,河道宽度在0.44~1.4km之间,属黄河下游典型的弯曲型窄河段,最窄处为曹圈险工17号坝(曹家圈铁路桥),河道宽度444m,两岸堤距488.7m。河道主河床普遍高于两岸自然地面3~5m。目前平槽流量5000m3/s左右。主要支流有玉符河。
小清河:发源于玉清湖街道睦里庄闸,与黄河大致平行流向东北,至匡山庄出境,区内河长11.94km。境内支流主要有:腊山河、兴济河及南太平河、北太平河、曹家圈虹吸干河等排涝河道。
玉符河:自周王庄入境,至北店子入黄河,境内长15km。
槐荫区境内现有大小河道22条,其中省级重要河道2条:分别是黄河(14.25km)、小清河(11.94km);市级重要河道5条:玉符河(15km)、兴济河(7.9km)、北太平河(16.6km)、陡沟(3.4km)、腊山分洪道(7.85km);区级及以下河道15条:分别是腊山河(5.32km)、大杨排水沟(4.43km)、曹家圈虹吸干河(12.13km)、安庄排水沟(2.75km)、南太平河(9.23km)、邱庄排水沟(4.59km)、龙王庙排水沟(2.19km)、筐里排水沟(2.02km)、峨眉沟(4.1km)、峨眉东沟(5.6km)、八里桥沟(1.97km)、南大槐树沟(0.9km)、段店东沟(0.4km)、低水河(0.5km)、老屯沟(0.35km)。
区内市级水库(湖泊)2个,分别为玉清湖水库(占地水域面积4.17km²)和济西湿地槐荫段(面积11.3km²)。
区内重要的防洪排涝河道包括小清河、玉符河、兴济河、北太平河、南太平河、陡沟河、腊山分洪道和腊山河。
1.2 历史灾害
1.2.1 洪涝灾害
1987年8月26日18时至27日凌晨2时,辖区降雨达291mm。洪水冲塌房屋85420m2(其中居民住房458间,死亡4人,伤3人);工商企业累计停产、停业达1万多小时,产值及营业额受损258万元,利润受损43万元;农(菜)田受灾4330亩,其中重灾1550亩,损失1328万元,冲毁道路6条3658m2。据不完全统计,全区直接经济损失1754万元。
1998年8月济南南部连降大到暴雨,卧虎山水库水位猛涨,8月22日开始放水,9点流量27m3/s,10点增加到50m3/s,下午1点增加到70m3/s,由于洪水不能顺利排入黄河和小清河,到8月31日,滩区受淹面积达到5800亩,经济损失452万元。
2007年7月18日,受高空槽、切变线、低涡等天气系统共同影响,济南市出现了特大暴雨天气,3小时降水量达180mm,相当于200年一遇,是济南市历史上有气象记录以来的最大值。市区局部积水达到1.5m深,由于河道行洪能力低,加之南高北低的地势,道路雨水流速较大,造成行人被冲、车辆翻倒、房屋或者围墙倒塌。区内交通一度处于瘫痪状态,灾害造成槐荫区2人死亡,1.3万群众受灾,倒塌损坏房屋294间,农作物受灾面积486公顷。
1.2.2 旱情灾害
2008年10月至2009年2月,全区连续109天无有效降雨,发生50年一遇严重干旱;2011年全区遭遇严重旱情;2014年我区发生春夏连旱,特别是在主汛期发生严重夏伏旱。
1.3 防汛特点
1.3.1 地理位置特殊
由于济南市地形东高西低、南高北低,市区降水汇流至槐荫区,易发生城市内涝;在突发性、历时短、降雨量集中的情况下,区内极易形成类似山洪的街道洪水。
槐荫区北毗邻“地上悬河”黄河,位于玉符河下游,小清河上游,区内多条河流汇集,防汛任务较为严峻。
小清河为市区泄洪的唯一出口,槐荫西北自古即为滞洪区,防汛任务重,压力大。当市区普降大到暴雨,城区加压排水时,造成顶托,小清河干流控制闸只能关闭,洪水暂时滞留于区内。
玉符河下游承接腊山分洪工程的分洪洪水和卧虎山水库下泄洪水,防洪任务严峻。玉符河下游地形平坦,坡降平缓,黄河水位高时易形成倒灌,同时遭遇卧虎山水库泄洪和腊山分洪时,洪水只能滞蓄在玉符河滞洪区,仅靠睦里闸(流量5m3/s)分洪,玉符河左堤压力加大,只能靠人力加强防守。
1.3.2 泄洪能力有限
近年来辖区内玉符河、腊山河等河道都已治理,基本满足防洪要求,由于小清河是城区唯一外排水河道,与之配套的工程未全面建成,防洪能力不能满足泄洪要求。城区雨水管网布局需要优化,部分管道老化,短期内难以完善健全,排水能力受限。突发性强降雨时,易造成道路行洪、低洼地区内涝和立交道积水。
1.3.3 防汛重点
针对防汛的薄弱环节、重点部位、易发生灾害的区域,结合槐荫区实际,重点抓好防范工作,一是沿河两岸和低洼地带的安全防范工作;二是在建工程的安全度汛工作;三是群众的安全转移工作;四是山体滑坡的安全防御工作。围绕上述“四安全”,做好专项预案落实、巡查警戒和紧急情况处置方案。
1.4 编制目的
做好我区水旱灾害防范和处置工作,保证防汛抗旱抢险救灾工作依法、科学、高效、有序进行,最大程度减少人员伤亡和财产损失。
1.5 编制依据
依据《中华人民共和国防洪法》《中华人民共和国突发事件应对法》《中华人民共和国防汛条例》《中华人民共和国抗旱条例》《山东省防汛抗旱应急预案》《济南市突发事件总体应急预案》《济南市防汛抗旱应急预案》《槐荫区突发事件总体应急预案》等规定,结合我区实际,编制本预案。
1.6 适用范围
本预案适用于全区范围内的水旱灾害防范与应急处置工作。水旱灾害包括:河湖洪水、渍涝灾害、山洪灾害、由暴雨引发的泥石流和滑坡等地质灾害、台风引发的洪涝灾害、干旱灾害、供水危机,以及由洪水、地震等引发的水库垮坝、堤防决口、水闸倒塌等次生衍生灾害。
1.7 工作原则
坚持人民至上、生命至上、安全第一。坚持党政同责、一岗双责,统一指挥、分级负责、属地管理,认真落实地方政府及相关部门责任,以防为主,实现防抗救结合,积极动员社会力量,依法开展防控工作。
2. 组织体系与职责
区、街道依法设立防汛抗旱指挥机构,负责开展本辖区防汛抗旱工作。有防汛抗旱任务的单位可根据自身职责设立相应的行业防汛抗旱指挥机构,按照“行业管、管行业”的原则,做好本行业、本单位防汛抗旱工作。
2.1 区级防汛抗旱指挥机构
区防汛抗旱指挥部(以下简称区防指)负责组织领导全区防汛抗旱工作。区防指实行“双指挥长”,分别由分管水务工作的副区长和分管应急工作的副区长兼任,区人武部、区政府办公室、区水务局、区应急管理局、区黄河河务局主要负责同志兼任副指挥长,区委、区政府有关部门(单位)主要负责同志任指挥部成员,区防指在区黄河河务局设区黄河防汛办公室,负责全区黄河防汛日常工作。槐荫区防汛抗旱指挥部办公室(以下简称区防办)由区水务局和区应急管理局共同组成,设在区应急管理局。区防办主任由区水务局和区应急管理局主要负责同志兼任,副主任由区水务局和区应急管理局分管负责同志兼任。区水务局承担区防指日常工作,可以区防办的名义开展工作。防汛抗旱工作平时重防、战时重救,区水务局作为“防”的牵头部门,区应急管理局作为“救”的牵头部门,衔接好“防”与“救”的责任链条。
2.1.1 区防指职责
(1)贯彻落实有关防汛抗旱工作的法律法规规定,执行上级命令,研究制定全区防汛抗旱突发事件应对措施和指导意见,指导监督防汛抗旱重大决策的贯彻落实;
(2)指挥全区防汛抗旱突发事件的抢险救灾工作;
(3)组织开展全区防汛抗旱安全检查,统筹安排全区防汛抗旱物资和队伍,做好全区水旱灾害后期处置协调工作;
(4)承担区委、区政府交办的其他事项。
2.1.2 区防指成员单位职责
区防指各成员单位要认真贯彻执行区委、区政府决策部署和区防指工作要求,按照各自职责分工(详见附件)做好防汛抗旱工作,形成防汛抗旱工作合力。
2.1.3 区防办职责
(1)承担区防指日常工作,负责执行区防指指令,按规定向区委、区政府报告有关工作情况;
(2)及时准确掌握汛情、旱情、灾情和工情,向区防指提出防汛抗旱工作建议;
(3)组织编制(修订)区级防汛抗旱应急预案,按程序报批并指导实施;
(4)组织开展防汛抗旱督导检查,指导监督各街道办事处和有关部门(单位)做好防汛抗旱工作;
(5)会同有关部门(单位)加强防汛抗旱物资储备调用;
(6)发布或授权相关单位发布雨情、墒情信息;
(7)做好防汛抗旱宣传工作,提高全社会防洪抗旱减灾意识;
(8)承担区防指安排的其他工作。
2.2 现场应急指挥部
根据防汛抢险工作需要,区防指可组建现场应急指挥部。发生或预判将发生较大及以上洪涝灾害,区防汛抗旱指挥部视险情灾情情况启动应急响应,同时设立专项工作组,各专项工作组组长由牵头单位相关负责同志担任,负责协调工作组各成员单位共同做好应急处置工作。工作组和成员单位可根据实际需要进行调整。各组按照职责分工,各司其职,协同作战,全力以赴做好紧急情况下的防汛抢险救灾工作。
(1)综合协调组。区水务局为牵头单位,由区应急管理局、区黄河河务局、各街道办事处等单位组成。承担现场应急指挥部日常组织协调工作,及时传达市委、市政府,区委、区政府及省市抢险救灾指挥部有关要求,汇总调度全区抢险救援等工作情况,编发工作简报;及时收集掌握雨情、旱情、水情、险情、灾情、工情及抢险救灾、险情应对等工作情况;密切跟踪重点区域雨情、旱情、水情、汛情、风情和抢险救灾有关情况,发生突发险情、灾情的,及时向市委办公厅、市政府办公厅、市防指、市抢险救灾指挥部等部门报告全区抢险救灾工作情况;做好文件传阅、归档以及会务筹备、灾情统计、文稿起草等相关工作。
(2)专家会商组。由区水务局为牵头单位,区应急管理局、区自然资源局、区住房城乡建设局、区黄河河务局等有关部门(单位)组成,负责及时调度掌握雨情、旱情、水情、工情、险情、灾情;组织水务、应急、建筑施工、安全等方面专家研判灾情形势,提出科学有效的抢险救灾建议。
(3)抢险救援组。区应急管理局为牵头单位,由区人武部、区水务局、区黄河河务局、区消防救援大队等单位组成。负责组织各类救援队伍,协调解放军和武警部队、民兵预备役等救援力量,抢救遇险人员,转移和疏散被困群众,协助区政府开展灾后重建中的相关工作。
(4)治安维稳组。区公安分局为牵头单位,由各街道办事处等单位组成。负责灾区治安防控,迅速组织力量对发生灾情的区域实施警戒,依法打击破坏抢险救灾行动和工程设施安全的行为,保证抢险救灾工作的顺利进行;有序排查各类安全隐患,及时为受灾群众提供帮助,全力做好抗灾救援工作;协助做好舆情管控,严防发生涉灾重大网络舆情炒作事件;强化涉灾重点个人、群体的动态管控,排查化解矛盾纠纷。
(5)交通保障组。区交警大队为牵头单位,由区公安分局、区水务局、区园林绿化服务中心及属地街道办事处等单位组成。负责灾民疏散、撤退和紧急救援转移的交通保障,受灾片区树木清运、道路交通管制、高速公路封闭、轨道交通停运等;负责维护交通秩序,疏导车辆,确保处置重大突发灾情过程中交通顺畅;做好灾区现场管控和交通疏导工作,视情开设应急通道,保障应急处置人员车辆和物资装备通行需要。
(6)物资保障及灾民安置组。区应急管理局为牵头单位,由区发展和改革局、区商务局、区公安分局、区水务局、区黄河河务局、区财政局、区卫生健康局及各街道办事处等单位组成;负责抢险救灾物资的储备、调度和供应;组织处置突发事件所需的应急运输力量;保证人员的疏散和抢险救灾物资的运送;负责灾情调查、救济款物的管理和发放、受灾人员生活安置、接受和管理社会各界捐赠、组织灾后重建,协助和配合医疗救护及卫生防疫组,做好善后工作。
(7)卫生防疫组。区卫生健康局为牵头单位,由区农业农村局、区市场监管局及属地街道办事处等单位组成。负责指导灾区做好医疗救治、疾病预防控制和病死畜禽无害化处理等工作;加强受灾群众心理疏导,畅通受灾群众诉求渠道;及时组派卫生应急专家和队伍,做好灾区医疗卫生工作;强化灾区疫情监测,开展风险评估,及时提出防控工作建议;根据工作需要组建卫生应急现场指挥部,统一指挥防汛抗旱救灾医疗卫生相关工作,必要时向上级卫生行政部门请求派出专家组指导工作。
(8)政策落实组。区财政局为牵头单位,区发展和改革局、区自然资源局、区水务局、区应急管理局、区农业农村局等有关部门(单位)组成,负责抓好涉及防汛抗旱救灾的资金、土地、社保、税收等政策落实,督促金融机构落实支持灾区重建灾毁房屋、农村农业设施、基础设施的有关措施;指导协调保险公司加快完成灾后理赔和惠民保险品种创新工作;协调有关部门(单位)积极争取省、市两级补助资金;鼓励社会各界捐助,统筹安排捐助的物资、资金、劳务、技术等资源;督促各级审计部门做好全程跟踪审计工作,确保资金使用合规合理、公开透明、安全有效。
(9)次生灾害防治组。各行业主管单位为牵头单位,各街道配合。由区应急管理局、区自然资源局、区住房城乡建设局、区城管局、区卫生健康局、区水务局、区发展和改革局(区国防动员办公室)等行业监管单位组成。负责会同各街道加强对本行业领域落实次生灾害防治工作进行检查、指导和督促,并监督、检查、指导各街道落实次生灾害防治相关日常监管工作;承担泥石流、地质灾害、危险边坡、山洪等次生灾害应急救援的技术支撑工作。
(10)市场保障组。区发展和改革局为牵头单位,由区市场监管局、区商务局等有关部门(单位)组成,负责指导灾区加强粮食蔬菜肉蛋奶供应;强化价格监管,严厉打击哄抬物价、囤积居奇等违法行为,保证市场秩序稳定;引导粮食企业敞开收购灾区农民存粮;科学调配棉被等过冬物资,做好灾区群众生活安置保障,提供食品、饮用水、衣被、燃料等生活必需品和临时住所,满足基本生活需要。
(11)公用设施保障组。各行业主管单位为牵头单位,由区发展和改革局(区国防动员办公室)、区工业和信息化局、区住房城乡建设局、区城管局、区公安分局、区市政工程服务中心、区园林绿化服务中心、区供电中心和各街道办事处等部门(单位)组成。主要负责建立应急通信和供电系统;启用备用电源、水源;组织专业抢修队,及时修复通信、供电、供水、供气、排水等公用设施。
(12)救灾建设组。区水务局为牵头单位,由区工业和信息化局、区住房城乡建设局、区自然资源局、区城管局、区农业农村局、区发展改革局、区市政工程服务中心、区园林绿化服务中心、区供电中心等有关部门(单位)组成。负责组织工程抢险施工力量,提供抢险技术支持;按属地管理原则和职责划分对工程进行维护和抢修;指导受灾地区对各类已建、在建及损毁设施实施拉网式排查,积极开展水毁修复工作,确保工程质量,尽快恢复各类工程防灾减灾功能;指导受灾地区开展损毁设施农业、畜禽养殖场恢复重建以及大田作物除水排涝等工作;组织农业畜牧科技人员下乡,帮助受灾群众迅速开展生产自救,尽快恢复农业生产;指导灾区加快道路、桥梁、房屋、电力、通信等损毁设施抢修恢复工作;加强民居安全检测;指导受灾企业强化安全隐患排查,在确保安全的基础上,有序恢复生产;统筹保障重点建材产品生产和优质惠价供应;牵头超前谋划灾后重建工作,指导灾区做好重建规划的编制实施。
(13)新闻宣传组。区委宣传部为牵头单位,由区公安分局、区文旅局、区应急管理局、区水务局等有关部门(单位)组成。负责组织新闻媒体大力宣传党委、政府抢险救灾的决策部署和工作措施,定期协调有关部门、街道发布灾情和救灾情况,及时回应社会关切,严厉打击恶意炒作;对干部群众在抢险救灾工作中的感人事迹加大宣传力度,营造一方有难、八方支援、共克难关的良好氛围。
2.3 街道办事处防汛指挥机构
各街道办事处应当明确防汛抗旱工作承担机构和责任人员,全力做好各自辖区防汛抗旱具体工作。同时在区防指和区委、区政府的领导下,按照有关法律法规规定,组织、协调好各自辖区防汛抗旱工作。
2.4 其他防汛指挥机构
辖区内有防汛抗旱任务的单位可根据需要成立防汛抗旱指挥机构,负责本单位防汛抗旱工作。
2.5 会商机制
区防办将根据汛情旱情演变,组织相关专家和成员单位研究预测汛情旱情发展趋势,分析对经济社会发展的影响,制定防汛抗旱抢险救灾、人员救助等工作方案,为区防指和各级领导提供决策依据。会商可采取视频会商、会议会商及现场会商等形式。
3. 应急准备
3.1 明确责任
各街道办事处、各部门要严格落实防汛抗旱责任,压实行业部门和相关企事业、工程管理单位防汛抗旱责任,压紧巡查值守、预警发布、转移避险安置等重点环节防汛抗旱责任。对于河道重要堤防、险工险段、水库、重点城区、山洪、地质灾害、重要设施防汛责任人,健全横向到边、纵向到底的责任体系。
防汛抗旱责任人必须按要求履行防汛抗旱职责,入汛后不得擅自离岗,必须24小时保持联络畅通;防汛抗旱关键期必须加强值班值守。
3.2 工程准备
各有关部门要按时完成水毁工程修复,及时推进各类防洪工程建设、水利工程建设、病险水利工程设施除险加固及城市排水除涝能力建设,指导和监督防洪工程管理单位做好日常养护管护,确保工程正常运行,安全度汛。
区黄河河务局还要做好黄河滩区安全建设和运用准备相关工作。
3.3 预案准备
各街道办事处、各有关部门(单位)应当及时修订完善防汛抗旱应急预案、各类河道 (湖泊) 防御洪水方案、水库汛期调度运用计划和防御洪水方案、拦河闸坝控制运用计划、城市防汛应急预案、山洪灾害防御预案和部门防汛抗旱相关预案等各类防汛抗旱预(方)案,按规定报批并组织实施。按照“一流域一案、一街道一案、一村(社区)一案、一行业一案”要求,做好防汛抗旱预案编制(修订)工作,形成全区防汛抗旱应急预案体系。
区水务局负责编制(修订)《槐荫区防汛抗旱应急预案》;区黄河河务局负责编制(修订)《槐荫区黄河防洪预案》(包含超标准洪水防御预案)《槐荫区黄河防凌预案》《槐荫区黄河滩区运用预案》;区消防救援大队负责编制(修订)《槐荫区洪涝灾害应急救援预案》;区供电中心负责编制(修订)《槐荫区防汛抗旱电力保障应急预案》;区工信局负责编制(修订)《槐荫区防汛通信保障应急预案》。其他相关行业、部门防汛抗旱应急预案由行业主管部门负责编制(修订)。
3.4 物资、队伍准备
按照分级负责的原则,各街道办事处、区防指有关成员单位应按有关规定储备必需的防汛物料,并合理配置,特别是要在防汛重点部位储备一定数量的抢险物料,以备急需,防汛物资可采取自储、委托储备等多种储存方式;各街道办事处根据自身实际情况组织防汛巡查队,定期对工险段巡查。
区人武部应当结合实际,建立人民解放军和武警部队参与抢险救援的应急协调机制,做好应急救援联调联战准备。
区应急管理局、区水务局、区黄河河务局等有关部门(单位)应当组建专(兼)职抢险队伍,按需配备工程抢险装备器材,承担巡堤巡检、险情处置等任务。
各街道办事处、村(居)委会应当积极组织群众参加抗洪抗旱救灾。
3.5 转移安置准备
各街道办事处负责会同有关部门组织协调紧急转移安置受灾群众,人员转移安置工作应当明确转移安置工作流程、转移线路集中安置点和各环节的责任单位及责任人,应当提前明确应急避难场所并及时向社会公告,部署转移安置各项准备工作。
应急管理、教育、工信、公安、自然资源、住建、水务、卫生健康、文化和旅游等有关部门按照职责分工配合做好人员转移安置工作。企事业单位和其他社会组织负责做好本单位人员转移安置工作。
各街道办事处、村 (居) 委会和相关单位应当编制人员转移方案,统计管辖范围内需转移人员数量和实际转移人员数量,针对可能受洪涝灾害、台风影响区域的人员设立台账,建立档案,确定转移避险路线、交通工具、安置地点,落实转移避险保障措施,并组织开展人员转移演练工作。
3.6 救灾救助准备
区应急管理局应当完善政府救助、保险保障、社会救济、自救互救“四位一体”的自然灾害救助机制,提升灾害救助水平,帮助受灾群众快速恢复生产生活,避免因灾返贫、因灾致贫,维护社会和谐稳定。建立灾害民生综合保险制度,充分发挥保险机制在减灾救灾中的作用。
3.7 防汛抗旱检查
区防指将根据防汛实际,组织有关部门(单位)、企事业单位开展防汛安全隐患、薄弱环节等风险源的排查梳理,分类施策,落实监控、巡查、清除等有针对性应对措施,并加强防汛工作检查。防汛检查实行单位自查、行业检查、综合检查相结合方式,以防洪工程、责任制落实、预案编制和物资保障、队伍建设、值班值守、人员转移避险等方面排查安全隐患和薄弱环节,落实整改措施,确保防汛抗旱工作顺利开展。
3.8 技术准备
自然资源、住建、水务(交通运输)、农业农村、应急管理、黄河河务等有关部门(单位)要加强专家力量建设,强化防汛抗旱技术支撑,及时提出工作建议,按照区防指部署要求参与检查督导、抢险救援、抗旱救灾、调查评估和人员培训等工作。
3.9 宣传培训
各街道办事处、各有关部门要协调新闻媒体,开展防汛抗旱社会宣传,提高群众避险自救能力和防灾减灾意识。加强宣传教育工作,增强广大市民防御洪涝灾害的防范意识,提高自我保护能力,做好防汛抗灾的思想准备。
4. 监测预警
4.1 监测
各有关部门(单位)根据自身职责,及时收集、分析、上报本部门或本行业有关气象、雨情、旱情、水情、工情、险情、灾情等信息。
4.1.1 气象信息
区有关部门及时获取市气象部门提供的灾害性天气预报和预警信息,根据区防指要求,建立实时联动机制,做好临近短时预报。
4.1.2 水文信息
区水务局负责对接协调市水文中心及时提供全区各铁路立交道、低洼地区、主要道路以及水库、河道等水文站点情况,及时报告全区雨情,预测水情等信息,根据洪水预报提出建议措施。
4.1.3 工情信息
区水务局负责提供河道、城区排水管网、排涝泵站等工情信息;区黄河河务局负责提供黄河槐荫段的工情信息;区自然资源局负责及时提供地质灾害相关信息;各街道办事处负责提供辖区内中小河道、堤防等建筑物工情信息、安全运行状况及险情,实时洪涝灾情及灾害预报预警(含山洪灾害预报)等信息;其他有关部门(单位)按照自身职责做好相关工情信息监测并及时报告。
4.1.4 洪涝灾情信息
洪涝灾害信息主要包括灾害发生的时间、地点、范围、灾情发展趋势、财产损失、人员伤亡等情况。洪涝灾害发生后,有关部门(单位)应当按规定汇总灾情,全面掌握受灾情况,及时报送区政府和区防办并跟踪核实上报,为抗灾救灾提供准确信息。
4.1.5 旱情监测
旱情信息监测内容主要包括:雨情、水情、土壤墒情,干旱发生的时间、地点、程度、受旱范围、影响人口以及对城乡生活、工农业生产、生态环境等方面造成的影响。
全区各街道办事处、区防指有关成员单位要及时准确收集旱情信息,掌握雨水情变化、当地蓄水情况、农田土壤墒情和城乡供水情况,加强旱情监测。
4.2 预警
预警级别由低至高划分为一般(四级)、较重(三级)、严重(二级)、特别严重(一级)四个预警级别,依次用蓝色、黄色、橙色、红色表示,预警范围为全区或部分区域。包含暴雨预警、洪水预警、山洪灾害预警、台风预警、干旱预警等。全区各街道各部门,应当根据辖区防汛工作实际,加强监测预警,落实落细防范措施,紧盯山洪、地质灾害易发区、城乡易涝区、工程薄弱段等重点部位和薄弱环节,视情报请区委、区政府提前采取停课、停工、停业、停运、停产措施,果断组织转移危险区群众,先期处置突发险情,全力确保人民群众生命财产安全。
4.3 预警程序
4.3.1 预警发布
监测预警职能部门、单位依法依规发布和解除与防汛抗旱工作有关的预警预报,并将有关预警预报信息报送区防办。区防办负责公文收集、汇总预警预报等基础信息,分析全区防汛抗旱形势,经会商研判后,向区防指提出汛情旱情预警发布建议,区防指以预警平台、短信等形式按规定程序发布区级汛情旱情预警。区防指成员单位按职责分工及时在本系统内转发相应汛情旱情预警信息。区委宣传部、区文旅局、区应急管理局、区交警大队等有关部门(单位)及时向社会发布预警信息。
4.3.2 防汛预警行动
4.3.2.1 汛情四级(蓝色)预警行动
各成员单位要做到领导带班、人员到岗,24小时值班,确保通信畅通;重点防汛部位抢险人员做好抢险的各项准备工作,随时将有关情况上报区防办。
4.3.2.2 汛情三级(黄色)预警行动
在蓝色汛情预警响应的基础上,进一步加强领导带班,重点防汛部位责任人和相关人员加强巡查,发现问题及时组织处置、及时报告;根据情况,区防办将组织对低洼地区、交通干线及重点立交桥等重点防汛部位进行巡查督查,询问实时汛情、险情、灾情;各类有线、无线通信设备处于24小时开通状态;相关成员单位及时报告雨情、水情、工情、险情等,并做好群众安全避险准备;抢险人员按照防汛抢险预案,加强对重点防汛部位的抢险救护;建议市民减少外出,不在危房内停留避雨。
4.3.2.3 汛情二级(橙色)预警行动
在黄色汛情预警响应的基础上,各级防汛指挥部指挥人员、抢险人员全部上岗到位,防汛专业抢险队伍全部在一线待命;各类有线、无线通信设备处于24小时开通状态;重大险情区域及时组织群众安全避险转移;协调辖区经营性场所、人员密集区域商铺提前结束营业;建议市民最好留在家中,不要到郊区活动,尽量避免在低洼地带或地下通道停留,区防办及时向区委、区政府和市防办上报情况。
4.3.2.4 汛情一级(红色)预警行动
在橙色汛情预警响应的基础上,各成员单位、解放军、武警部队、消防救援等抢险力量要全力组织各方面救援力量投入防汛抢险工作,确保重点防汛部位安全;各街道办事处和部门(单位)第一时间投入抗洪抢险救援,撤离危险地带群众,最大限度确保群众生命财产安全。区防办及时向区委、区政府和市防办上报情况。
4.3.3 预警等级调整
根据防汛形势变化,区防办提出预警级别变更建议,按程序签发调整。
4.3.4 预警解除
根据汛情变化,区防办及时提出汛情预警解除建议,按程序解除。
4.3.5 抗旱预警
区防指根据干旱预警,结合雨情、水情、墒情、气象等条件及时组织会商分析,综合研判旱情发展趋势,针对即将发生的农作物受旱、人畜饮水困难、城镇供水水源短缺等情况,发布抗旱预警。
抗旱预警启动后,各街道办事处和相关防指成员单位要根据各自职责分工组织做好抗旱应对准备工作。各有关单位应密切关注天气变化,加强旱情监测分析,优化抗旱水源调配,科学编制供水计划,强化节水宣传,切实做好抗旱应对准备工作。旱情威胁解除后,区防指及时解除抗旱预警。
5. 应急响应
5.1 总体要求
5.1.1 响应等级
根据汛情变化、暴雨、大中型河道洪水流量、城区低洼地段积水、山洪等险情、干旱严重程度以及防御能力等综合因素,确定防汛抗旱响应级别。由低到高划分为一般(四级)、较重(三级)、严重(二级)、特别严重(一级)4个响应级别。
由区防指根据汛情旱情预警及工情、险情、灾情等情况启动应急响应。
对符合防汛抗旱应急响应启动条件的,相关部门(单位)和灾害影响地街道办事处应按照预案先行启动响应,组织抢险救灾,同时报告区防办。
5.1.2 响应启动、终止权限
一级应急响应:区防指指挥长报请区长同意后签发。
二级应急响应:区防指指挥长签发。
三级、四级应急响应:区防指副指挥长签发。
5.1.3 响应调整
当响应条件发生变化时,区防办及时调整响应等级,报请区防指指挥长或副指挥长签署。
5.2 四级应急响应
5.2.1 启动条件
5.2.1.1 符合下列条件之一的,启动防汛四级响应
(1)黄河花园口发生4000~6000(含)m3/s洪水,预估泺口站相应流量3500~5000m3/s,北店子相应水位30.40~31.90m,部分滩区出险串滩,部分临黄堤偎水;
(2)区部分重要河道、堤防可能发生局部滑坡、管涌;
(3)区部分主要河道水位(水深)达到警戒水位(水深),可能呈继续上涨趋势;
(4)城区部分道路、低洼地区、立交桥下出现积水或出现道路行洪现象;
(5)收到上级防指启动四级应急响应的通知。
5.2.1.2 符合下列条件之一的,启动抗旱四级响应
(1)农作物受旱面积800-1000亩;
(2)区域农业旱情指数0.1≤Ia<0.6;
(3)农作物生长期内连续无有效降雨的天数春秋季15-30天,夏季10-20天,冬季20-30天;
(4)因旱临时性饮水困难人口1万-5万人;
(5)5%<城市干旱缺水率<10%,出现缺水现象,城市生活、生产用水受到一定程度影响。
5.2.2 响应行动
5.2.2.1 四级应急响应的指挥与协调
区防指:
(1)了解全区雨情、水情以及水库等工程设施调度运行情况。
(2)掌握险情灾情及防御抢险救灾情况。
(3)发出做好暴雨防御工作的紧急通知,对有关街道、有关单位提出具体要求。
(4)督促指导有关街道落实防御措施,开展防洪排涝工作。视情况派出工作(督导)组加强现场督导。
(5)视情况组织区级专家队伍、抢险队伍和物资装备参与抢险救灾。协调成员单位和有关单位提供抢险救灾保障。
(6)及时向市防指和区委、区政府报告暴雨防御情况。
(7)协调信息发布工作。
(8)研究并处理其他重大事项。
区防办:
(1)区防办组织有关部门(单位)联合值班值守,密切监视汛情旱情发展变化,加强值班调度,及时传达领导指示和汛情旱情信息。
(2)区防指成员单位分管负责人到岗到位,按照职责分工,做好防汛抗旱工作,协同做好应急处置工作,相关情况及时上报市防指。
5.2.2.2 各成员单位的四级应急响应行动
(1)各街道办事处:根据气象灾害分区预警和辖区险情灾情,启动相应等级应急响应。派出道路积水联合处置队在重点积水路段待命,做好防涝处置准备。及时处置报告本辖区灾情险情。落实区防指各项指令、通知,并报告执行情况。
(2)区人武部:做好协调抢险救灾准备,必要时迅速参与抢险救灾。
(3)区水务局:组织河道、涵闸、泵站、排水管线等水务工程设施的管理单位加密巡查频次;根据汛情督促暂停在建水务工程施工,做好施工度汛措施和抢护措施;加强水务工程度汛管理和水利设施防洪调度,并组织实施排洪;指导排水管网运营单位派出人员、设备在易积水区域现场值守,在积水区域设置警示标识,组织开展应急抽排,疏通淤堵的市政排水管网,确保排水顺畅;加强监测预报预警及信息发布;督促各单位加强隐患排查,按照预案落实防御措施;组织排查易积水路段的安全隐患,采取防洪排涝措施,抢修水毁道路交通设施。
(4)区应急管理局:通知各临时避难场所做好开放准备,视情况组织各街道开放临时避难场所;向职责范围内的危化品生产经营企业转发预警预报和防汛信息,督促相关企业立即开展全面安全检查,安排好值班和应急处置人员;根据险情发展会同消防部门等单位,统筹全区应急救援力量;统一做好灾情发布,并根据地方请求,会同水务、黄河河务等有关部门(单位)调拨防汛抗旱物资。
(5)区黄河河务局:加强值班值守,密切关注黄河水情、工情、雨情信息;及时向区防指汇报黄河汛情,做好上堤群防队伍巡查防守技术指导;视情召开防汛会商会,研究提出黄河防汛抢险救灾的建议意见,并向区防指报告;落实和执行区防指的各项指示要求。
(6)区公安分局:加强对重点地区、场所的保护;在灾害重点区域、受灾区或危险区实施治安管理,维护区域治安秩序;开展治安救助工作,协助组织受灾区或危险区群众的救助或安全转移,协助有关部门做好大型集会人员的疏散工作。
(7)区教育和体育局:提示和督促中小学校、幼儿园、托儿所做好防御准备,检查安全隐患,根据防御指引暂停室外教学活动,保障在校学生(含校车上、寄宿)的安全等;通知体育场馆暂停营业,督促指导各体育场馆做好防御准备,采取措施保护现场人员,妥善安置人员,区体育事业发展中心协助完成。
(8)区工业和信息化局:组织、指导各街道及相关单位开展辖区工业行业领域的隐患排查、落实防御措施;组织各大电信运营企业,为防汛抗旱重点区域、重点部位和抢险救灾现场提供通信保障,全力开展通信保障、网络抢修和网络恢复工作,重点保障区委、区政府、区防汛抗旱指挥部和要害部门通信畅通。
(9)区发展和改革局:组织、指导各街道及相关单位落实再生资源行业领域的防御措施;区国防动员办公室负责指导协调公共人防工程的险情处置、应急救援和积水排除,确保人防工程安全度汛;根据区防指指令,利用防空警报参与发布城市防汛红色预警和一级应急响应启动信号。
(10)区自然资源局:加强值班,检查督促各街道和区相关部门开展地质灾害隐患排查、落实防御措施,及时发布地质灾害气象风险预警。
(11)区住房城乡建设局:督促区管在建工地暂停高空、露天作业,加强施工区安全管理,加固或拆除有危险的建设施工设施等,疏散、撤离危险区域人员;督促检查所管辖区域内积水情况、组织防洪排涝和抢修水毁设施;督促物业管理机构做好地下车库等易积水区域的防洪排涝措施,更新防汛提示、增加广播频次等;督促燃气行业做好抢险救援准备,加强巡检,及时整治隐患、处理险情。
(12)区城管局:督促设置单位在恶劣天气前对广告牌匾标识和景观亮化设施进行安全检查,对发现存在安全隐患的设施及时督促整改;督促环卫作业单位及时清除路面垃圾等杂物,协助检查清理市政排水管网进水口,防止路面垃圾进入市政排水管网造成堵塞。
(13)区文化和旅游局:督促所管辖的各经营性旅游景点(景区)暂停售票,通知文化场馆暂停营业等。督促指导各经营性旅游景点(景区)、星级酒店、文化场馆、旅游企业做好防御准备,采取措施保护现场人员,妥善安置游客。
(14)区商务局:督促所管辖的各非星级酒店、宾馆做好防御准备,采取措施保护现场人员,妥善安置宾客。
(15)区卫生健康局:组织指导抢救伤病员,做好防疫工作,防止和控制灾区疫情、疾病的发生、传播和蔓延。
(16)区园林绿化服务中心:加强对所管辖区域树木的排查,及时修剪、加固或清除影响安全的树木等。
(17)区交警大队:视情况对积水区域实行交通管制;限制高速公路车流、车速,关闭水毁和积水严重的高速公路路段;协助涉水熄火车辆及车上人员撤离;对道路交通事故进行快速处置,协助组织路上受灾群众安全转移,确保抢救现场和灾区的交通通畅,保障运输抢险队伍和抢险物资车辆优先快速通行;在全区交通诱导屏上播出预警和抢险救灾信息。
(18)区消防救援大队:做好抢险救灾相应准备,必要时负责抢救遇险人员,转移和疏散被困群众。
(19)区供电中心:防护加固危险区域的设施,保障相关设施的正常运行。设施抢修期间,在危险区域放置警示标志。保障电力正常运行。
(20)其他各成员单位:加强值班,做好本单位职责范围内防御和抢险救灾准备。
5.3 三级应急响应
5.3.1 启动条件
5.3.1.1 符合下列条件之一的,启动防汛三级响应
(1)黄河花园口发生6000~8000(含) m3/s洪水,预估泺口站相应流量5000~6400m3/s,北店子相应水位31.90~33.14m(槐荫防区逐渐漫滩,堤防偎堤水深3.46~4.7m);
(2)区部分重要河道、堤防可能发生较大范围滑坡、管涌,威胁堤防安全;
(3)区部分主要河道水位(水深)超过警戒水位(水深),可能呈继续上涨趋势;
(4)城区部分道路、低洼地区、立交桥下积水或道路行洪影响车辆、行人通行;
(5)收到上级防指启动三级应急的通知。
5.3.1.2 符合下列条件之一的,启动抗旱三级响应
(1)农作物受旱面积1600-2000亩;
(2)区域农业旱情指数0.6≤la<1.2;
(3)农作物生长期内连续无有效降雨的天数春秋季31-50天,夏季21-30天,冬季31-60天;
(4)因旱临时性饮水困难人口5万-10万人;
(5)10%<城市干旱缺水率<20%,出现明显缺水现象,城市生活、生产用水受到较大影响。
5.3.2 响应行动
5.3.2.1 三级应急响应的指挥与协调
区防指:
(1)了解全区雨情、水情以及水库、泵站等工程设施调度运行情况。
(2)组织会商,指挥部成员和有关专家参加,传达上级精神,分析灾情发展趋势,明确防御工作重点,全面部署防御抢险救灾工作。
(3)发出做好暴雨防御工作的紧急通知,要求各行业采取防灾避险措施,有关单位全力抢险救灾。
(4)督促指导有关街道落实防御措施,开展防洪排涝抢险救灾。
(5)视情况组织区级防汛专家、抢险队伍及物资装备参与抢险救灾。协调成员单位和有关单位提供抢险救灾保障。
(6)及时向市防指和区委、区政府报告险情灾情和抢险救灾情况。
(7)视情请求市防指在专家、队伍、装备、物资等方面给予支援。
(8)向公众发布信息。
(9)研究并处理其他重大事项。
区防办:
(1)组织有关部门(单位)联合值班值守,密切监视汛情旱情发展趋势和水情、雨情、工情,及时将汛情旱情信息报告区防指,传达领导指示、汛情旱情信息,通过新闻媒体发布汛情旱情通报。
(2)区防指成员单位分管负责人到岗到位,密切关注汛情、旱情、险情、灾情发展变化,按照职责分工,做好防汛抗旱工作,相关情况及时上报市防指。
5.3.2.2 各成员单位的三级应急响应行动
(1)各街道办事处:部署开展防汛应急响应行动。立即处置报告辖区险情灾情。重点加强易涝区域、沿河两岸、边坡、危旧建筑、工地、围墙等危险区域的巡查警戒。落实区防指各项指令、通知,并报告执行情况。
(2)区委宣传部:用好区属新媒体矩阵,统筹协调上级媒体,及时、准确地向社会公众发布预警预报和抢险救灾工作情况。负责统筹抢险救灾舆情应对工作。
(3)区人武部:协调民兵预备役等力量做好抢险救灾的处置准备。
(4)区水务局:做好应急值守工作部署,加强值班,密切关注气象信息;做好信息的上传下达及报送工作,及时向有关单位传达区领导防灾指示、批示精神,落实和执行区防指的各项指示要求;组织加强对河道等防汛重点区域的巡查频次,科学调度防洪排涝设施组织实施排洪,指导属地街道和管养单位及时布置水务工程设施险情、灾情;做好抢险救援队伍准备和排涝物资预置工作,随时待命增援灾区;指导各街道及相关排水运营单位开展低洼易涝区、积水路段等区域的积水抽排;指导排水管网运营单位在积水区域设置警示标识,加强人员、设备力量,及时疏通淤堵的市政排水管网,确保排水顺畅;及时发现道路损毁情况,及时修复;加强监测预报预警及信息发布。
(5)区应急管理局:通知室内避难场所全部开放,及时告知公众;会同有关部门协同做好抢险救灾物资和器材的调配供应;根据汛情、险情旱情发展和实际需要,会同消防部门等单位统筹全区应急救援力量开展应急救援救灾工作,实施受灾群众生活救助,协助受影响区域开展抢险突击、群众转移疏散等工作;督促职责范围内的工矿商贸企业、危化品生产经营企业加强巡查力度;督促危险化学品生产经营企业加强对危险部位(储罐区、配电房等)监控,发现险情及时排除,无法排除的要立即采取应对措施,同时按规定上报。
(6)区黄河河务局:落实和执行区防指的各项指示要求;密切关注黄河水情、工情、雨情信息;及时向区防指汇报黄河汛情,做好上堤群防队伍巡查防守技术指导;根据汛情加密分析会商,研究提出黄河防汛抢险救灾的建议意见,并向区防指报告。
(7)区公安分局:随时准备投入抢险救灾;在灾区和危险区域实施治安警戒,开展治安救助工作;依法严厉打击破坏防汛救灾行动和工程设施安全的行为,保证救灾工作顺利进行。
(8)区教育和体育局:检查全区中小学、幼儿园、托儿所停课安排落实情况,督促校方采取有效措施保障在校学生安全;通知体育场馆暂停营业,采取措施保护现场人员,妥善安置人员,区体育事业发展中心协助完成。
(9)区工业和信息化局:组织、指导各街道及相关单位开展辖区工业行业领域的隐患排查、落实防御措施;组织各大电信运营企业,为防汛抗旱重点区域、重点部位和抢险救灾现场提供通信保障,全力开展通信保障、网络抢修和网络恢复工作,重点保障区委、区政府、区防汛抗旱指挥部和要害部门通信畅通。
(10)区发展和改革局:组织、指导各街道及相关单位落实可再生资源行业领域的防御措施;区国防动员办公室负责指导协调公共人防工程的险情处置、应急救援和积水排除,确保人防工程安全度汛;根据区防指指令,利用防空警报参与发布城市防汛红色预警和一级应急响应启动信号。
(11)区自然资源局:督促各街道和区相关部门开展地质灾害隐患排查、落实防御措施,向全区转发地质灾害预警,接到地质灾害灾情、险情报告后组织专家赶赴现场调查,预测灾害发展趋势,划定危险范围,提供应急处置专业技术支撑。
(12)区住房城乡建设局:督促区管在建工地暂停作业,按规范关闭工地用电总闸,疏散、撤离危险区域人员;督促物业管理机构更新小区防汛提示、加强广播和巡查、落实地下停场等低洼易涝区域的防洪排涝措施等;督促燃气行业加强巡检,及时投入抢险抢修。
(13)区城管局:督促环卫作业单位及时清除路面垃圾等杂物,协助检查清理市政排水管网进水口,防止路面垃圾进入市政排水管网造成堵塞。
(14)区商务局:做好生活必需品和重要生产资料的监测、储备工作,做好调配的准备;督促所管辖的各非星级酒店、宾馆采取措施保护现场人员,妥善安置宾客。
(15)区文化和旅游局:督促旅游经营性旅游景区暂停售票,采取措施保护游客安全;指导旅游企业了解气象、交通等信息;通知文化场馆暂停营业等。
(16)区卫生健康局:组织指导抢救伤病员,做好防疫工作,防止和控制灾区疫情、疾病的发生、传播和蔓延。
(17)区消防救援大队:做好抢险救灾相应准备,必要时负责抢救遇险人员,转移和疏散被困群众。
(18)区园林绿化服务中心:及时修剪、加固市政区域的树木等;及时清除影响安全的树木等。
(19)区交警大队:加强道路巡查,维护交通秩序,保障全区道路、高速公路正常运行;在重点区域和灾区增加警力,对道路交通事故进行快速处置,协助涉水熄火车辆及车上人员撤离,对涉水被困车辆实行紧急救援,协助组织路上受灾群众安全转移;确保抢救现场和灾区的交通通畅,保障运输抢险队伍和物资车辆优先快速通行。
(20)区供电中心:加派力量组织抢修受损毁的设施,保障相关设施正常运行。设施抢修期间,在危险区域放置警示标志,保障水、电等正常供应。
(21)其他各成员单位:加强值班和信息报送,做好防御和抢险救灾准备,及时处置报告险情灾情。
5.4 二级应急响应
5.4.1 启动条件
5.4.1.1 符合下列条件之一的,启动防汛二级响应
(1)黄河花园口发生8000~10000(含)m3/s的洪水,预估泺口站相应流量6400-7800m3/s,北店子水位33.14~34.15m(最高超出警戒水位2.97m,辖区滩区全部漫滩,堤防偎堤水深4.7~5.71m);
(2)区部分重要河道和防洪工程设施发生重大险情,可能造成溃堤、决口、倒闸,危及大坝安全和威胁人民生命财产安全;
(3)区部分主要河道可能出现漫溢(超过保证水位或水深)或小清河发生顶托影响泄洪;
(4)城区低洼地区、立交桥下可能出现较严重积水,危及车辆、行人安全,威胁人民群众生命财产安全;
(5)城区可能发生洪涝灾害,出现道路行洪、道路积水,造成城区主干道交通瘫痪;
(6)收到上级防指启动二级应急响应的通知。
5.4.1.2 符合下列条件之一的,启动抗旱二级响应
(1)农作物受旱面积2400-3000亩;
(2)区域农业旱情指数1.2≤Ia<2.1;
(3)农作物生长期内连续无有效降雨的天数春秋季51—75天,夏季在30—50天,冬季61—80天;
(4)因旱临时性饮水困难人口10万-20万人;
(5)20%<城市干旱缺水率<30%,出现严重缺水现象,城市生活、生产用水受到严重影响。
5.4.2 响应行动
5.4.2.1 二级应急响应的指挥与协调
区防指:
(1)组织会商,指挥部成员和有关专家参加,传达上级精神,分析灾情发展趋势,明确防御工作重点和防御措施。
(2)发出防御工作紧急通知,要求各行业采取防灾避险措施,有关单位全力抢险救灾,视情建议区委、区政府成立现场应急指挥部。
(3)派出工作(督导)组,指导督促各部门、各街道落实防御措施,开展抢险救灾,维护社会稳定。
(4)视情况赴受灾地域现场指挥,召集防汛专家、抢险队伍,调度物资装备,制定和组织实施现场抢险救灾方案。必要时向市防指请求支援。
(5)向公众发布信息。
(6)及时向市防指和区委、区政府报告险情灾情和抢险救灾工作进展情况。
(7)研究并处理其他重大事项。
区防办:
(1)组织有关部门(单位)联合值班值守,密切监视汛情旱情发展趋势和水情、雨情、工情,及时将汛情旱情信息报告区防指,传达领导指示、汛情旱情信息,通过新闻媒体发布汛情旱情通报;
(2)区防指成员单位主要负责人到岗到位,密切关注汛情、旱情、险情、灾情发展变化,按照职责分工,做好防汛抗旱工作,相关情况及时上报市防指;
(3)协调做好抢险队伍和物资保障。
5.4.2.2 各成员单位的二级应急响应行动
(1)各街道办事处:部署开展抢险救灾行动。及时处置报告辖区险情灾情。落实区防指各项指令和通知,并报告执行情况。重点加强沿河两岸、低洼地带、边坡、危旧建筑、工地、围墙等危险区域的巡查警戒。
(2)区委宣传部:负责统筹指导重大险情灾情宣传报道,协调抢险救灾等舆情引导应对工作。
(3)区人武部:协调解放军、武警部队、民兵预备役做好抢险救灾准备。
(4)区水务局:当发生河道、水库重大险情,严重山洪灾害,严重城市内涝时,干旱灾害时做好防洪工程抢险技术指导和专家支撑工作;派出技术指导小组协助抗洪排涝抢险;加强对重点水务防洪工程的监控、防护和调度,掌握工程的运行状况并组织实施排洪;加强监测预报预警及信息发布;做好抢险救援队伍准备和排涝物资预置工作,随时待命增援灾区。
(5)区应急管理局:收集、核实有关灾情,并及时向区防指汇报;做好暴雨引起的生产安全事故的信息收集报告,组织协调生产安全事故的救援处置工作;会同有关部门协同做好抢险救灾物资和器材的调配供应;根据汛情、险情旱情发展和实际需要,会同消防部门等单位统筹全区应急救援力量开展应急救援救灾工作,实施受灾群众生活救助,协助受影响街道办事处开展抢险突击、群众转移疏散等工作。
(6)区黄河河务局:落实和执行区防指的各项指示要求;加强值班值守,密切关注黄河水情、工情、雨情信息;及时向区防指汇报黄河汛情,协助区防指做好黄河防汛信息的上传下达及报送工作;做好上堤群防队伍巡查防守技术指导;根据汛情发展加密分析会商,研究提出黄河防汛抢险救灾的建议意见,并向区防指报告。
(7)区公安分局:维持社会治安秩序;协助开展抢险救灾工作;负责组织实施分洪爆破方案,做好防汛抢险、分洪爆破时的戒严、警卫工作。
(8)区发展改革局:负责抢险救灾应急工程、抢险救灾工程等固定资产投资建设项目的立项,协调做好基本生活物资和人员安置物资的供应工作;区国防动员办公室负责指导协调公共人防工程的险情处置、应急救援和积水排除,确保人防工程安全度汛;根据区防指指令,利用防空警报参与发布城市防汛红色预警和一级应急响应启动信号。
(9)区教育和体育局:向全区教育机构发布预警信息,并做好在校师生的安全管理或安全转移工作;组织做好体育场馆的防洪防涝安全工作;做好因暴雨滞留在体育场馆内的人员撤离、救助工作;及时关闭受洪涝灾害影响的体育场馆,区体育事业发展中心协助完成。
(10)区工业和信息化局:组织、指导各街道及相关单位开展辖区工业行业领域的隐患排查、落实防御措施;组织各大电信运营企业,为防汛抗旱重点区域、重点部位和抢险救灾现场提供通信保障,全力开展通信保障、网络抢修和网络恢复工作,重点保障区委、区政府、区防汛抗旱指挥部和要害部门通信畅通。
(11)区财政局:统筹安排和及时拨付救灾补助资金;协调配合相关部门做好争取上级资金支持。
(12)区自然资源局:当发生重大地质灾害时,做好专家技术支撑工作;督促各街道和相关部门开展地质灾害隐患排查、落实防御措施,视降雨情况联合市气象局适时发布地质灾害气象风险预警,接到地质灾害灾情、险情报告后组织专家赶赴现场调查,协助各街道开展群众撤离、抢险救灾等应急处置工作。
(13)区住房城乡建设局:督促区管在建工程加强安全检查和加固工作;协助区有关部门做好城市防洪防涝和抢险救灾工作;督促物业管理机构落实地下停车场等低洼易涝区域的防洪防涝措施等;督促燃气行业加强巡检,必要时投入抢险救援。
(14)区城管局:负责所管辖的市政环卫的安全运行;指导各街道做好辖区市政环卫的防汛工作。
(15)区商务局:协调商业企业做好灾区居民日用生活消费品的供应工作;配合上级主管部门组织重要生活必需品的紧急调度;调查分析商品价格信息,进行预测预警。
(16)区文化和旅游局:组织做好经营性旅游景点(景区)、文化场馆的防洪防涝安全工作;做好因暴雨滞留在景区、文化场馆内的人员撤离、救助工作。及时关闭受洪涝灾害影响的景区和文化场馆。
(17)区卫生健康局:及时组织医疗防疫队伍赶赴灾区开展防病治病,预防和控制疫情。
(18)区园林绿化服务中心:负责所管辖的园林绿化设施的安全运行。
(19)区交警大队:加强道路巡查,维护交通秩序,保障全区道路正常运行;确保抢救现场和灾区的交通通畅,保障运输抢险队伍和物资车辆优先快速通行。
(20)区消防救援大队:做好抢险救灾的相应准备,组织开展综合抢险救灾,协助救援受困群众。
(21)区供电中心:统筹调集抢险队伍、应急发电装备,为防汛抗旱重点区域、重点部位和抢险救灾现场提供电力保障;督导电力防汛抢险、抗旱救灾工作,及时更新发布受灾情况、救援力量、复电进度等信息;保障城市生命线及防汛抗旱重要用户的电力供应;指导基层做好配电站房防淹工作。
(22)其他各成员单位:加强值班和信息报送,做好本单位本行业防御和抢险救灾工作,及时处置报告险情灾情。
5.5 一级应急响应
5.5.1 启动条件
5.5.1.1 符合下列条件之一的,启动防汛一级响应
(1)黄河花园口发生10000 m3/s以上的洪水,预估泺口站相应流量为7800m3/s~11000m3/s,北店子相应水位34.15~35.6m(此时最高洪水位将接近设防水位,区防洪工程将处于高标准运行状态,区内所有滩区全部漫滩过流,堤防偎堤水深5.71~6.75m);
(2)区部分重要河道可能发生超出现状防洪能力的洪水,可能发生特别重大险情,严重威胁大坝及群众生命财产安全;
(3)城区可能发生洪涝灾害,出现严重道路行洪、道路积水,造成城区大面积交通瘫痪;
(4)城区道路、低洼地区可能发生严重洪涝灾害,严重威胁人民群众生命财产安全;
(5)山洪易发区前期土壤含水量已饱和,预计将要发生山体坍塌、泥石流等地质灾害;
(6)收到上级防指启动一级应急响应的通知。
5.5.1.2 符合下列条件之一的,启动抗旱一级响应
(1)农作物受旱面积4000亩以上;
(2)区域农业旱情指数2.1≤Ia<4;
(3)农作物生长期内连续无有效降雨的天数春秋季在75天以上,夏季在50天以上,冬季在80天以上;
(4)因旱临时性饮水困难人口20万人以上;
(5)城市干旱缺水率>30%,出现极为严重的缺水局面或发生供水危机,城市生活、生产用水受到极大影响。
5.5.2 响应行动
5.5.2.1 一级应急响应的指挥与协调
(1)区防指指挥长报请区长同意后签署启动一级应急响应命令,组织成员单位会商,部署防汛抢险、抗旱救灾工作。
(2)区防办加强值班值守力量,密切监视汛情旱情发展变化,及时收集汇总分析雨情、水情、工情、险情、灾情信息,及时向区防指汇报。做好重点工程调度,视情紧急调拨防汛抗旱物资、调度防汛抢险、抗旱救灾队伍。
(3)区防指按照灾害类别,派出由有关部门、专家组成的工作组和专家组,指导相关街道办事处做好防汛抗旱工作。
当发生河道、水库重大险情和严重山洪灾害时,区水务局做好专家技术支撑工作,区防办协调做好抢险队伍和物资保障,区工信局做好通信保障。
当发生重大地质灾害时,区自然资源局做好专家技术支撑工作,区防办协调做好抢险队伍和物资保障,区工信局做好通信保障。
当发生严重城市内涝时,区水务局做好专家技术支撑工作,区防办协调做好抢险队伍和物资保障,区工信局做好通信保障。
当发生黄河重大险情时,区黄河河务局、区水务局做好专家技术支撑工作,区工信局做好通信保障。
当发生干旱灾害时,区水务局做好专家技术支撑工作,区防办协调做好抢险队伍和物资保障,区工信局做好通信保障。
当其他重要基础设施发生重大险情时,行业主管部门做好专家技术支撑工作,区防办协调做好抢险队伍和物资保障。区工信局做好通信保障。
(4)区政府成立现场应急指挥部。相关工作情况及时上报市委、市政府和市防指。
(5)区防指成员单位主要负责人到岗到位,加强值守,相关情况及时上报区防指。
(6)区防指成员单位按照职责分工做好相关工作,调配资源,全力做好抢险救灾和应急保障工作,及时查灾核灾,按规定续报受灾情况,工作情况按要求上报市防指,重要情况第一时间上报。
(7)区水务局要加强信息调度分析,持续做好会商研判,随时报送监测预报、水利工程运行、城市内涝、抢险救援等情况。
(8)各主管部门按照职责分工,广泛调动资源,协调各方力量,全力做好抢险救灾、抗旱救灾和应急保障工作。
区公安分局组织做好灾区治安管理和防汛抢险时的警戒、安全保卫工作,实施必要的交通管控,及时疏导车辆、行人。引导抢险救援、抗旱救灾车辆有序快速通行。
区交警大队、区水务局组织做好防汛抗旱物资运输、抢险救援、抗旱救灾力量投送、大规模滞留人员疏散、转移和受损公路、铁路、桥梁抢修。做好轨道交通、公交站、客运站防涝排水和公交车、出租车紧急避险。
区国防动员办公室负责指导协调公共人防工程的险情处置、应急救援和积水排除,确保人防工程安全度汛;根据区防指指令,利用防空警报参与发布城市防汛红色预警和一级应急响应启动信号。
区工信局组织电信运营企业,为全区防汛抗旱重点区域、重点部位和抢险救灾现场提供通信保障。全力开展通信保障、网络抢修和网络恢复工作,重点保障区委、区政府、区防汛抗旱指挥部和要害部门通信畅通。
区供电中心统筹调集抢险队伍、应急发电装备,为全区防汛抗旱重点区域、重点部位和抢险救灾现场提供电力保障。督导电力防汛抢险、抗旱救灾工作,及时更新发布受灾情况、救援力量、复电进度等信息。保障城市生命线及防汛抗旱重要用户的电力供应。指导基层做好配电站房防淹工作。
(9)区委宣传部要按照抢险救灾指挥部部署,组织新闻媒体及时发布汛情旱情通报,召开新闻发布会,加强正面宣传报道和舆论引导。
(10)区水务局、区黄河河务局等部门(单位)实施防洪工程联合调度,财政部门紧急拨付救灾资金,应急管理等有关部门(单位)组织指导地方转移救助受灾群众,统筹抢险救援力量,区人武部负责协调解放军、武警部队和民兵参与应急处置。
(11)街道办事处要按照转移避险应急预案确定的转移区域、转移人员、转移路线,组织好相关人员的转移工作,转移至安全地点并妥善安置。要落实转移安全责任制,做到应转尽转、不落一人。同时加强对地下商场、地下停车场、轨道交通(地铁)、下沉式隧道、铁路立交、易涝点等部位的值守管控,并封闭危险路段,实行交通管制。
(12)在水资源科学配置方面,按照“先生活、后生产,先节水、后调水,先重点、后一般”的原则,加强水资源统一管理,做到开源与节流并举,合理调配水资源。加强灌区工程管理,及时建设配套应急水源工程,因地制宜地搞好调度。限制或关闭高耗水行业,对旱灾严重的居民饮用水进行定点限时供应,为灾区的生活和生产及时供水。地表水相对贫乏的地区,在降低20%灌溉定额的同时,通过打井、开采地下水、补充地表水、节水灌溉等措施尽可能满足用水需求。
根据水源的可开采量,实行应急开源、应急限水、应急调水、应急送水等措施,最大限度地减少旱灾损失。在有条件的地方积极实施人工增雨。
(13)区防指指挥长到岗到位,在市防指统一指挥下,积极开展防汛抢险、抗旱救灾工作,重要情况第一时间上报。全区各级防汛抗旱责任人均要在岗在位,靠前指挥,组织做好防汛抢险、抗旱救灾应急处置工作。
(14)请求市防指在专家、队伍、装备和物资方面给予支援。
5.6 应急响应调整
响应条件发生变化时,区防办应当及时提出调整响应等级建议,按程序报请区防指指挥长或副指挥长签署。
5.7 响应结束
当险情基本消除、生产生活秩序基本恢复,视情况终止应急响应。
三级、四级应急响应由区防指副指挥长签署终止令,由区防办宣布应急响应终止。
二级以上应急响应结束后,由区防指指挥长签署终止令,立即宣布应急响应终止。
6. 信息报告与发布
6.1 信息报告
信息报告内容主要包括雨情、水情、工情、险情、灾情等汛情信息,险情(灾情)发生时间、地点、影响范围、基本过程、财产损失和人员伤亡情况、已采取应对措施、需要支援事项以及报告人姓名、单位、联系电话等。
区防指成员单位负责通过各自行业系统渠道,汇总上报职责范围内信息;区防办负责全区信息汇总,按规定向市防指、区政府报告,并通报有关成员单位;出现重特大防汛突发事件,由区政府按程序向市政府报告。
突发险情、灾情报告分为首次报告和续报。发生较大和比较敏感的一般险情灾情时,区防指成员单位应在发生后15分钟内电话报告区防办,书面报告不晚于30分钟,详细信息报告不晚于事件发生后1.5小时。发生突发重大险情灾情时,所在街道和区防指有关成员单位应在发生后10分钟内报区防办;骨干河道重要堤防、涵闸等及大型和防洪重点中型水库发生的重大险情应在险情发生后立即报告区防办、市防办。
险情或灾情发生后,有关责任部门(单位)应当及时掌握有关情况并做好首次报告。突发险情、灾情发展过程中,根据险情、灾情变化情况及抢险救灾情况,做好续报工作,直至险情排除、灾情稳定或结束。
防汛应急信息的报送和处理应坚持快速、准确、详实原则,重要信息立即上报。因客观原因无法立即准确掌握的信息,应及时报告基本情况,同时尽快了解情况,及时补报详情。
6.2 信息发布
信息发布应当及时、准确、客观、全面原则。按照有关规定统一、准确、及时发布汛情、灾情、旱情以及有关突发事件事态发展、应急救援处置工作信息。
防汛及抢险救灾等信息,由区防指审核及发布;涉及灾情的,由应急部门审核和发布;涉及军队的,须经军队有关部门审核。
凡经本级或上级防指采用和发布的灾害、工程抢险等信息,区防指应及时组织核查,对存在的问题要及时采取措施,切实加以解决。
信息发布可通过广播、电视、报刊、电话、微信、微博、手机短信、警报器、显示屏、宣传车或组织人员入户通知等方式进行,对老、弱、病、残、孕等特殊人群以及学校等特殊场所和警报盲区应采取有针对性的公告方式。
7. 后期处置
在区委、区政府统一领导下,由区政府及相关部门(单位)组织善后处置,全面开展灾情核定工作,及时收集、清理和处理污染物,对受灾情况、人员补偿、征用物资补偿、重建能力、可利用资源等做出评估,制定补偿标准和灾后恢复计划并实施。所需资金由区财政局和相关单位负责安排。
7.1 水毁工程修复
对影响防洪安全的水毁工程,应尽快修复。对其他遭到毁坏的防洪工程、交通、电力、通信、供油、供气、供水、排水、房屋、人防工程、跨河管线以及防汛抗旱专用通信设施等分别由各相关产权部门负责修复、重建。
7.2 灾后重建
受灾地区恢复生产、重建家园工作由区政府负责。原则上按原标准恢复,在条件允许的情况下,可提高标准重建。
7.3 保险理赔
受灾地区所投保的水毁设施、设备、居民的财产损失由各保险公司按照“援助优先、特事特办、简化程序”的原则,及时进行核实、理赔。
7.4 生活安置
区应急管理部门会同有关方面安置受灾群众,保障群众基本生活。
7.5 其他工作
各有关部门(单位)应当根据自身职责做好疫情处理、污染物清除、征用调用物资费用补偿、取土占地复垦、砍伐林木补种防汛抗旱物资补充等其他善后处置工作。
7.6 总结评估
每次灾情过后,各街道办事处、区防指各成员单位应针对防汛抗灾工作的各个方面和环节进行定性和定量的总结、分析、评估,并及时将报告上交区防指。区防指根据我区受洪涝灾害影响程度和防汛工作开展情况,在防汛结束后有针对性完成防汛评估工作,出具书面评估报告,报市防汛抗旱指挥部备案。
8. 保障措施
8.1 后勤保障
区应急管理部门负责会同有关方面紧急转移安置受灾群众做好受灾群众生活救助工作。区卫生健康部门负责做好传染病预防与控制和医疗救护工作。区水务局、区发展和改革局、区住房城乡建设局以及区供电中心等单位负责保障水、电、气、油供应。区供电中心建立区域内的用电重点保障单位名录,优先保证抗洪抢险、抗旱救灾等供电需要。区财政部门负责做好抗洪抢险、抗旱救灾资金保障。
8.2 应急队伍保障
必要时区人武部负责协调解放军、武警部队、公安、消防救援、民兵预备役参加抢险救灾,主要担负急、难、险、重抢险任务。各街道应当组建以民兵预备役为骨干的群众抢险救灾队伍,相关部门应当设立专业抢险救灾队伍。村 (居) 委会应当视情组织群众参加抗洪救灾。
8.3 通信与信息保障
区工信局负责协调电信运营商保障防汛抗旱现场和各级防指通信畅通。按照公用通信网为主的原则,合理组建防汛抗旱专用通信网络。
8.4 交通运输保障
区水务局负责协调市交通运输部门做好抢险救灾、人员转移、物资运输的车辆调配工作;区公安分局、区交警大队负责保障抢险救灾、人员转移物资运输车辆畅通,必要时实行交通管制。
8.5 物资保障
有关部门(单位)按照分级储备、分级管理、统一调配、合理负担和宁可备而不用、不可用而不备的原则,建设物资仓库,贮备足够数量防汛抗旱物资、器材与设备,必要时征用社会物资与设备。
8.6 人员转移保障
人员转移工作由各街道办事处负责牵头,各有关部门(单位)协助实施。各街道、村(居)按照预案确定的工作流程、转移路线、安置地点做好人员转移安置工作。
9. 监督管理
9.1 宣传教育
区委宣传部负责牵头组织各街道办事处、区直各部门充分运用区属新媒体平台,开展防汛、避险、自救、互救等常识的宣传,加强对低洼地区、铁路立交道、易行洪道路、地质灾害防范区等重点区域周边居民群众的宣传引导,增强防汛意识和避险技能。
9.2 培训
按照分级负责原则,每年汛前至少组织1次培训,重点对指挥调度人员、抢险救灾人员、防汛业务人员进行培训,提高防汛人员的专业技能和抢险救灾能力。
9.3 演练
每年至少组织 1 次应急演练,可组织综合性应急演练,也可针对城区铁路立交道、低洼地区、水库、河道等重点风险部位开展专业性应急演练。
9.4 责任与奖惩
对防汛工作作出突出贡献的先进集体和个人,按照有关规定予以表扬;对在防汛工作中英勇献身人员,按有关规定授予相应荣誉称号;对在防汛工作中致伤致残人员,按有关规定给予工作生活照顾。对防汛工作中玩忽职守造成损失的,依法依规追究当事人的责任,构成犯罪的,移交司法机关依法处理。
10. 附则
10.1 名词术语
暴雨蓝色预警信号:预计济南市市区国家级气象观测站或者全市30%以上气象观测站12小时降雨量将达50毫米以上,或者已达50毫米以上且降雨可能持续。
暴雨黄色预警信号:预计济南市市区国家级气象观测站或者全市30%以上气象观测站6小时降雨量将达50毫米以上,或者已达50毫米以上且降雨可能持续。
暴雨橙色预警信号:预计济南市市区国家级气象观测站或者全市30%以上气象观测站3小时降雨量将达50毫米以上,或者已达50毫米以上且降雨可能持续。
暴雨红色预警信号:预计济南市市区国家级气象观测站或者全市30%以上气象观测站3小时降水量将达100毫米以上且其中有观测站1小时降水量超过50毫米,或者已达100毫米以上且其中有观测站1小时降水量超过50毫米,降雨可能继续。
洪涝灾害:因降雨、融雪、冰凌、溃坝造成的洪水、渍涝灾害和由暴雨造成的山洪、泥石流等灾害。
市级重要河道:玉符河、腊山分洪道、兴济河、北太平河、陡沟河。
区主要河道:腊山河、大杨排水沟、曹家圈虹吸干渠、安庄排水沟、南太平河、邱庄排水沟、龙王庙排水沟、筐里排水沟、峨眉东沟(临时度汛)、八里桥沟、南大槐树沟、段店东沟、低水河、老屯沟等河道。
农业旱情:耕地或农作物受旱情况,即土壤水分供给不能满足农作物发芽或正常生长要求,导致农作物生长受到抑制甚至干枯的现象。
城市旱情:因旱导致城市居民和工商企业缺水的情况,包括缺水历时及程度等。
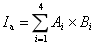
区域农业旱情指数:区域农业旱情指数按下列公式计算:

I—农作物旱情等级(i=1、2、3、4 依次代表轻度、中度、严重和特大干旱);
Ai—某一旱情等级农作物面积与耕地总面积之比(%);
Bi—不同旱情等级的权重系数(轻度、中度、严重和特大干旱的权重系数 Bi分别赋值为1、2、3、4)。
因旱临时性饮水困难:是指由于干旱造成城乡居民临时性饮用水困难,属于长期饮水困难的不应列入此范围。即由于干旱,导致人、畜饮水的取水地点被迫改变或基本生活用水量北方地区低于 20升/人·天、南方地区低于35 升/人·天,且持续 15 天以上因旱牲畜饮水困难标准可参考其他标准。在统计牲畜饮水困难时要将羊单位按5: 1 比例换算为大牲畜单位。
10.2 预案管理
10.2.1 预案制定
与防汛工作密切相关的单位和部门应制定相应的防汛应急预案,报区防指备案。各街道办事处、村(居)防汛预案编制工作可参照执行。
防汛抗旱应急预案应根据防洪工程、社会经济等情况变化适时修订,一般3~5年修订1次,并按原申报程序报批。
10.2.2 预案解释
本预案由区防办负责解释。
10.2.3 预案实施
本预案自印发之日起实施。
附件
槐荫区防汛抗旱指挥部各成员单位工作职责
区人武部:负责建立军地联动机制,必要时迅速组织协调解放军、武警部队、民兵预备役等队伍参与抢险救灾,协助地方人民政府转移危险地区的群众;其他防汛抗旱任务。
区委宣传部:负责协调指导重大险情灾情信息发布和舆情引导应对工作;协调新闻媒体做好防汛抗旱工作新闻宣传,积极开展防汛抗旱知识普及和公益宣传;协调新闻媒体及时向公众发布汛情旱情预警、防汛抗旱应急响应等信息;负责做好洪涝干旱灾害舆情引导调控工作,会同相关部门,线上线下联动,积极防范化解涉灾重大网络舆情风险;按照统一部署,协调网络媒体及时向公众发布汛情旱情预警、防汛抗旱应急响应等信息;其他防汛抗旱任务。
区发展改革局:负责防汛设施建设和重点水利工程除险加固计划的协调安排和监督管理;协调组织、指导各相关单位落实可再生资源领域的防御措施;负责积极协助相关项目建设单位争取防灾减灾救灾省、市投资支持;指导协调重大防汛抗旱工程、水毁工程及抗旱应急水源工程等政府投资项目的立项审批上报工作;统筹协调全区煤电油气运保障工作,组织煤、电、油、气以及其他重要物资的紧急调度和交通运输综合协调;会同商务局、市场监管、财政、公安等有关部门,负责全区市场价格的监测、预警,拟定价格干预措施并组织实施;区国防动员办公室负责指导协调公共人防工程的险情处置、应急救援和积水排除,确保人防工程安全度汛;根据区防指指令,利用防空警报参与发布城市防汛红色预警和一级应急响应启动信号;其他防汛抗旱任务。
区教育和体育局:负责教育机构的防汛工作,督促协调所属单位做好教学场所防汛准备、在校师生教职员工的安全保护,灾后修复或重建;按照预案转移人员,协助做好生活、医疗等安全保障措施,确保中、小学和幼儿园师生安全;对学生和教职员工进行防灾减灾知识宣传教育;做好校舍设施安全隐患排查整治工作,提前组织受威胁区、危险区师生转移并妥善安置,协助提供受灾人员转移安置场所;负责组织协调有关单位和部门做好体育场馆防汛工作,督促体育场馆暂停营业或关闭,组织救护和转移滞留体育场馆内的人员,区体育发展事业中心协助完成;其他防汛抢险任务。
区工业和信息化局:配合应急部门协调防汛抗旱抢险救援有关应急产品的生产组织,指导工业节约用水工作;组织、指导各街道及相关单位开展辖区工业领域的隐患排查、落实防御措施;协调电信运营企业定期修订防汛通信应急预案,协调电信运营企业及时发送相关预警信息;负责协调各基础电信运营企业和铁塔公司做好抢险现场公众通信网络保障工作;其他防汛抢险任务。
区公安分局:负责维护灾区社会治安秩序,依法打击造谣惑众和盗窃、哄抢防汛抗旱物资以及破坏防洪抗旱设施的违法犯罪活动,协助有关部门妥善处置因防汛抗旱引发的群体性治安事件,协助组织群众从危险地区安全撤离或转移,协助做好抢险救灾通行工作;其他防汛抢险任务。
区财政局:负责筹集落实防汛抗旱经费并监督使用;其他防汛抢险任务。
区自然资源局:负责协调重大防洪工程建设、蓄滞洪区、应急抗旱水源工程建设、灾后重建等建设项目所需临时性用地的协调和上报工作;承担地质灾害应急救援的技术支撑工作;负责全区地质灾害防治工作,组织指导重大地质灾害调查、专业监测、预报预警;负责防洪工程中河道蓝线的划定;协调开展应急抗旱水源勘探技术支持;根据重大地质灾害灾情、险情变化,提出防治措施和建议;督促各街道或区相关部门开展地质灾害隐患排查、落实防御措施;协助各街道或区相关部门开展地质灾害危险区域人员的转移安置工作;其他防汛抢险任务。
区住房城乡建设局:负责指导建筑企业做好房屋市政工程的安全度汛工作,指导、协调全区在建房屋建筑工地、燃气防汛抢险救灾工作;组织、指导各街道办事处督促物业公司做好人员疏散、物业管理区域的安全防范工作;负责地下设施的排查和防汛渗漏工作,及时消除事故隐患;负责应急抗旱期间建筑工程项目施工管理工作;其他防汛抢险任务。
区城管局:负责对管辖范围内的环卫路面作业,协助有关单位在监管范围内的危险地带或危险建筑物附近组织警戒,疏散、转移该危险地区的人员、财产;督促设置单位在恶劣天气前对广告牌匾标识和景观亮化设施进行安全检查,对发现存在安全隐患的设施及时督促整改;督促环卫作业单位及时清除路面垃圾等杂物,协助检查清理市政排水管网进水口,防止路面垃圾进入市政排水管网造成堵塞;协调洒水车等专业车辆参与抗旱运水;其他防汛抢险任务。
区水务局:承担区防指日常工作;负责防洪除涝工程的安全运行管理,及时提供水情、工情、险情和旱情信息;负责城市积水点和行洪道路的安全隐患排查工作;协调抗旱减灾工作,负责水利工程调度,统一合理调配抗旱水源,充分发挥现有水利工程效益;协调做好城市供水、城市应急供水;协调组织为特困灾区运送生活用水,实施雨情旱情监测,及时掌握城乡人畜饮水困难、河道来水、灌溉、蓄水等旱情水情信息;组织编制重要河道、湖泊(水库)和重要水利工程防御洪涝抗御旱灾调度和调度方案,按程序报批并组织实施;承担水情、工情和行业灾情监测预警发布以及防御洪水和城市内涝应急抢险的技术支撑工作;组织防洪除涝工程应急度汛、抗旱应急水源工程建设和水毁工程的修复工作;组建防汛抗旱应急抢险队,主要负责开展洪涝灾害的抢险工作和城市内涝排水工作;负责区管交通设施的防洪安全,保证辖区区管道路设施完好,对损坏的道路等市政设施及时进行检查和修复;保障路面无坑槽;负责承担防汛抗旱工作的交通运输保障,协调解决交通运输保障中的问题,检查、督促有关单位做好所辖桥梁、隧道、公路等交通运输基础设施防洪安全隐患排查、抢修等,维护公共交通运营秩序,及时调配运力,妥善疏导滞留旅客;做好区管城市道路及桥梁等在建工程安全度汛工作,在紧急情况下责成项目业主(建设单位)及时清除阻碍行洪设施;协调配合市交通运输部门做好运送防汛抗旱、防疫人员和物资、设备;视情为紧急抢险和撤离人员及时组织提供所需车辆等运输工具,保障防汛抗旱指挥车辆、抢险救灾车辆公路畅通;协调市水文中心及时提供全区雨情、水情、墒情信息及报汛工作;协调市水文中心及时提供全区重点河道、水库的洪水预报工作,对外发布雨情、水情、墒情等信息;督促查处擅自占压河道,清理拆除河道乱搭乱建临时设施,保证行洪畅通安全;其他防汛抗旱任务。
区农业农村局:负责农业防灾、减灾和救灾工作;监测农业灾情,及时报送区防指;协调种子、化肥等救灾物资储备和调拨;提出农业生产救灾资金安排建议,指导农业紧急救灾、农业抗旱减灾技术服务和灾后生产恢复;指导街道做好农业抗旱和农田排涝工作;指导做好水产养殖防汛避风安全生产工作;负责农产品(不含畜产品)质量安全监督管理。指导粮食等农产品生产和农业生产节约用水工作。组织、监督农业植物和水生动植物防疫检疫有关工作;开展农业土壤墒情监测;其他防汛抗旱任务。
区商务局:负责生活必需品市场供应应急保障和紧急调度;负责监测分析区内市场运行、商品供求状况,向区防指提出预警和应急意见;负责组织协调有关单位和部门做好非星级酒店、宾馆防汛工作;掌握指导经销单位库存的生活必需品,以便应急调用;其他防汛抢险任务。
区文化和旅游局:负责组织协调有关单位和部门做好经营性旅游景点(景区)、星级酒店、文化场馆防汛工作;督促景区、文化场馆暂停营业或关闭,组织救护和转移滞留景区、文化场馆内的人员;负责旅游安全应急综合协调和监督管理;负责协助提供受灾人员转移安置场所;协助有关部门指导A级景区汛期安全管理工作,协助有关单位指导A级景区开展应急救援工作;其他防汛抢险任务。
区卫生健康局:负责组织指导开展紧急医学救援和卫生防疫工作;出现灾情后,及时组织调派医疗救援力量,参与救治伤员,进行疫情防控,防止传染病的发生和流行;协调组织救灾捐赠;做好饮用水卫生监督、检测工作,预防控制疫病暴发流行;其他防汛抢险任务。
区应急管理局:负责组织协调水旱灾害应急救援工作;统一协调指挥全区应急救援队伍,统筹应急救援力量建设;负责组织协调较大洪涝灾害及次生地质灾害的防汛抢险、险情处置工作;组织指导协调灾情(含人员伤亡)核查统计上报、损失评估、灾害救助等工作,依法统一发布灾情;会同有关方面组织协调紧急转移安置受灾群众和灾害救助,组织协调重要应急物资的调拨和紧急配送,管理、分配和监督使用救灾款物;其他防汛抗旱任务。
区市场监督管理局:负责做好防汛抗旱突发事件发生期间商品质量监督管理工作,维护消费市场稳定;负责监管应急抢险人员和受灾群众发放食品的安全;其他防汛抢险任务。
区园林绿化服务中心:负责对管辖内行道及其他树木进行管理检查,特别是对泄洪有影响、危及电源电线安全的树木及时进行修剪处理,对部分园林树木进行防护加固,避免造成堵水和伤人事故发生;督促所辖城市绿地、公园、景区做好园林绿地枯死倒伏树木的清理工作;做好管辖范围内全区山体绿化提升和山体公园建设工程防汛安全工作;其他防汛抢险任务。
区交警大队:保证道路交通秩序,确保防汛车辆和救灾车辆安全畅通;协助受灾群众安全转移,加强低洼积水地区交通管制、疏导及涉水车辆的抢救,预警后及时设置警示标志,分流车辆;负责组织防汛抗旱道路管制、现场道路封闭警戒、交通秩序维护疏导;会同交通运输部门做好因降雨、台风等引发交通安全突发事件应急处置;其他防汛抢险任务。
区黄河河务局:承担黄河防汛办公室日常工作;负责槐荫段黄河工程的行业日常管理,密切检测黄河防洪工程的运行安全状况,负责编制《槐荫区黄河防洪预案》并按计划开展黄河防洪演练;及时提供我区黄河汛情、工情及险情等信息,做好防洪调度;制定并监督实施我区黄河防汛抗旱措施;组织黄河抗洪抢险及水毁工程的修复;负责黄河抗洪抢险的技术指导,协同做好大洪水时黄河防汛抢险工作;根据我区用水需求,依法依规调整引黄指标,使有限的黄河水资源发挥最大的社会效益;负责组织落实黄河群众防汛队伍组建工作和黄河防汛物资备料筹备工作;其他防汛抗旱任务。
区供电中心:负责对供电线路、配电设施及配套设施进行检查维修,确保设备正常运转,出现灾情时,及时进行抢修,确保供电安全;协调组织、指导各相关单位开展电力行业领域的隐患排查、落实防御措施;应急提供移动成套发电设备,保证抗洪抢险抗旱救灾的电力供应;其他防汛抢险任务。
区消防救援大队:负责组织参加我区应急抢险救援工作,负责抗洪抢险、营救转移群众、物资转移等重大任务;根据抗旱减灾工作进展情况,负责应急拉水、送水任务;其他防汛抗旱任务。
其他各成员单位:关注预警预报,保持通信联络。
街道办事处:
(一)在区防指统一领导下组织辖区的防汛工作;
(二)组织汛期值班,降雨时领导要到岗到位,现场值班;
(三)全面了解掌握低洼地区有关情况,熟悉辖区居民、企事业单位以及学校的现状,制定可行的群众转移预案,做到救灾、安全转移有地点、路线,车辆、饮食、医疗、安全保卫有保障,并逐项落实到部门、责任到人,遇有险情,能即刻解决;
(四)指挥辖区抢险,组织居民有序转移;
(五)平时组织防洪抢险演练;
(六)平时加强对辖区河道的日常巡查,配合有关部门做好辖区排水工作。
村(居)委会:
(一)在街道办事处统一领导下做好辖区内防汛工作;
(二)负责辖区内房屋、河道的日常巡查、管理,发现问题,及时上报;
(三)遇有强降雨,组织辖区居民转移,组织自救互救,做好居民安抚;
(四)及时掌握汛情,及时报送信息。
扫一扫在手机打开当前页
文件下载