- 索引号: 1137010000418859XL/2023-00378 组配分类: 济政办字
- 成文日期: 2023-06-03 发布日期: 2023-06-03
- 发布机构: 市政府办公厅
- 标题: 济南市人民政府办公厅关于印发济南市防汛抗旱应急预案的通知
- 发文字号: 济政办字[2023]23号 有效性: 0
各区县人民政府,市政府各部门(单位):
经市政府同意,现将修订后的《济南市防汛抗旱应急预案》印发给你们,请认真组织实施。
济南市人民政府办公厅
2023年6月3日
(联系电话:市应急局防汛抗旱处,51708361)
(此件公开发布)
济南市防汛抗旱应急预案
目录
1总则
1.1基本情况
1.2灾害与风险分析
1.3编制目的
1.4编制依据
1.5适用范围
1.6工作原则
2组织指挥体系及职责
2.1市级防汛抗旱指挥机构
2.2抢险救灾指挥部
2.3区县防汛抗旱指挥机构
2.4其他防汛抗旱指挥机构
2.5会商机制
3应急准备
3.1明确责任
3.2工程准备
3.3预案准备
3.4物资队伍准备
3.5转移安置准备
3.6救灾救助准备
3.7防汛抗旱检查
3.8技术准备
3.9宣传培训
4监测预警
4.1监测
4.2预警
5应急响应
5.1四级应急响应
5.2三级应急响应
5.3二级应急响应
5.4一级应急响应
5.5响应调整
5.6响应终止
6信息报告与发布
6.1信息报告
6.2信息发布
7后期处置
7.1水毁工程修复
7.2灾后重建
7.3保险理赔
7.4生活安置
7.5其他处置工作
7.6总结评估
8保障措施
8.1后勤保障
8.2应急队伍保障
8.3通信与信息保障
8.4交通运输保障
8.5物资保障
8.6人员转移保障
9预案管理
9.1编制与实施
9.2宣传、培训与演练
10奖励与责任追究
11附则
11.1名词术语定义
11.2预案解释部门
11.3预案实施时间
1总则
1.1基本情况
济南市位于山东省中部,南依泰山,北跨黄河,地处鲁中南山地与鲁西北冲积平原的交接带上,是全省政治、经济、文化、科技、教育、金融中心和重要交通枢纽,同时也是国家防汛抗旱总指挥部(以下简称国家防总)明确的全国31个重点防洪城市之一。
我市地处中纬度地带,受太阳辐射、大气环流和地理环境影响,属暖温带大陆性季风气候。其主要气候特征是:季风明显,四季分明;冬冷夏热,雨量集中。夏季降水量全市各区县(含功能区,下同)均在400毫米以上,全年70%以上的降水集中在夏季,7月份降水日数平均在15天左右,日降水量大于等于50毫米的暴雨日数集中在七八月份,占全年暴雨日数的70%。
受地理位置及季风气候影响,我市旱灾多发生在春季和晚秋,时有春夏连旱,严重影响工农业生产,若冬春连旱则会发生特大旱灾。
全市山丘区共有大、中、小型水库368座,其中大型水库2座、中型水库17座、小型水库349座,山丘区小型水库包含小(1)型74座、小(2)型275座。大型河道(含黄河)5条,其中黄河境内河长183公里,是我市主要客水资源;小清河境内河长70.5公里,是我市主城区唯一排水出口;大汶河境内河长65.5公里;徒骇河境内河长65.57公里;德惠新河境内河长11.01公里。全市水利工程众多,防范难度大。
地表水资源包括水库、河道、塘坝拦蓄水、黄河水、南水北调长江水、小清河水、泉水等。其中,客水资源包括黄河水和南水北调长江水。我市相继建成东湖水库输水、五库连通及延伸工程,开工建设卧虎山水库至锦绣川水库连通调水工程、玉清湖水库至鹊华水厂输水工程,实现了长江水、黄河水、当地水的联合调度。
黄河济南段上起平阴县东阿镇后姜沟,下止济阳区仁风镇老桑家渡,河道长183.35公里,纵比降约110000。槐荫区北店子村以上河道右岸为长平滩区,河宽一般2~7公里。2020年年底,按照防御黄河11000立方米秒洪水的标准,建成长平滩区护城堤33.881公里,其中平阴段4.635公里,长清段22.96公里,槐荫段6.286公里。北店子村以下为受工程约束的弯曲型窄河道,河宽一般0.5~2公里,最窄处为槐荫区曹家圈险工17号坝,两岸险工坝岸间444米。济南段总的特点是上宽下窄,目前平槽流量约4800立方米/秒。在济南河段汇入的支流,自上而下有浪溪河、玉带河、龙柳河、锦水河、安栾河、清水沟、南大沙河、北大沙河和玉符河,支流流域面积2443.99平方公里。
1.2灾害与风险分析
1.2.1历史灾害
济南市是一个洪涝灾害发生频繁的城市,较早的洪涝灾害记录见于公元680年。黄河现行河道自1855年(清咸丰五年)迁徙改道形成后至1938年花园口决口改道止,山东段在行水的83年间,有57年决溢成灾,占总行水年的69%,平均三年两决。济南市所属黄河南岸各区县范围有22年发生决口。1987年8月26日12时至27日3时,我市自西向东出现了一次高强度降雨过程,人民群众生命财产受到严重损失。2007年的“7·18”特大暴雨洪灾,给人民群众的生命财产也造成了严重损失,是我市历史上破坏性最大的自然灾害之一。
建国后(1949年~2022年),济南出现旱灾的年份25次,平均2.9年1次;其中大旱11次,平均6.6年1次;中旱11次,平均6.6年1次。1997年夏旱,2000年发生春夏连旱,2002年遭遇了百年不遇的特大干旱;2008年10月至2009年2月,全市连续109天无有效降雨,发生50年一遇严重干旱;2011年全市遭遇严重旱情;2014年我市发生春夏连旱,特别是在主汛期发生严重夏伏旱。
1.2.2区域风险分析
根据汛旱灾害特点,结合地形地貌条件,全市防御重点如下:
(1)中心城区。中心城区主要有历下区、市中区、槐荫区、天桥区、历城区及济南高新区等。地形南高北低。二环东路从旅游路至小清河段长度7.5公里,高差132米;舜耕路从二环南路至经七路长度5.3公里,高差105米;英雄山路从二环南路至北园大街长度10公里,高差95米。由于南北落差较大,在极端降雨天气情况下,极易形成洪涝灾害。
(2)长清区。长清区在泰山隆起边缘,地形东南高西北低,自东南向西北依次是山区、丘陵、山前平原和黄河洼区。境内主要分布有黄河、北大沙河、南大沙河等河道。易发生河库洪水、渍涝、山洪等灾害。
(3)章丘区。章丘区地形自东南向西北倾斜,自南向北依次为山区、丘陵、平原、洼地。境内主要分布有黄河、小清河、绣江河、杏花河等河道。易发生河库洪水、渍涝、山洪等灾害。
(4)济阳区。济阳区地处鲁西北平原,属黄河冲积平原。地形自西南向东北渐次倾降,坡度约为17000~18000。区内根据微地貌分类分为决口扇形地、缓平坡地、浅平洼地和河漫滩高地等4种类型。境内主要分布有黄河、徒骇河等河道。区域地势平坦,易发生内涝。
(5)莱芜区。莱芜区地形东高西低,三面环山,山区面积约占总面积的80%。境内主要分布有大汶河、嬴汶河、方下河等河道。山丘地区汇流速度快,洪水历时短,一旦遇暴雨极易造成山洪暴发,致灾性强。
(6)钢城区。钢城区地貌以山区丘陵为主,面积占85%以上,地形自南向北渐次降低。境内主要分布有牟汶河、辛庄河、盘龙河、颜庄河等河道。区域内河流均为山丘区河道,源短流急,洪峰集中,暴涨暴落,极易发生山洪灾害。
(7)平阴县。平阴县除沿黄地区与东部汇河流域为冲洪积平原和局部洼地外,其余皆为低山丘陵区。境内主要分布有黄河、汇河、浪溪河、玉带河等河道。易发生河库洪水、渍涝、山洪等灾害。
(8)商河县。商河县地形自西南向东北微倾,地面坡降在1000~110000之间。境内主要分布有徒骇河、德惠新河、临商河、土马河等河道。县域地势平坦,易发生内涝。
(9)市南部山区。市南部山区地形南高北低,自南向北地貌类型依次为南部山地丘陵带、中部山前平原带、北部临黄平原带。境内主要分布有玉符河、锦绣川、锦阳川等河道。市南部山区地处低山丘陵区,山洪灾害季节性强,主汛期频发率高。
(10)济南新旧动能转换起步区。济南新旧动能转换起步区地处黄河中下游,地貌形态受黄河影响较大,属于黄河冲积平原。境内主要分布有大寺河、齐济河、牧马河等河道。现状地势平坦,东西总体平坡,局部起伏,南高北低,坡度较小,仅为210000,属于低洼平坦“易涝”地势。
1.3编制目的
做好我市水旱灾害防范和处置工作,保证防汛抗旱抢险救灾工作依法、科学、高效、有序进行,最大程度减少人员伤亡和财产损失。
1.4编制依据
依据《中华人民共和国防洪法》《中华人民共和国突发事件应对法》《中华人民共和国防汛条例》《中华人民共和国抗旱条例》《山东省防汛抗旱应急预案》《济南市突发事件总体应急预案》等规定,结合我市实际,编制本预案。
1.5适用范围
本预案适用于全市所辖行政区域内的水旱灾害防范与应急处置工作。水旱灾害包括:河湖洪水、渍涝灾害、山洪灾害、由暴雨引发的泥石流和滑坡等地质灾害、台风引发的洪涝灾害、干旱灾害、供水危机,以及由洪水、地震等引发的水库垮坝、堤防决口、水闸倒塌等次生衍生灾害。
1.6工作原则
坚持人民至上、生命至上、安全第一;坚持党政同责、一岗双责;坚持统一指挥、分级负责、属地管理,认真落实地方政府及相关部门(单位)责任;坚持以防为主,实现防抗救结合;坚持积极动员社会力量,依法开展防控工作。
2组织指挥体系及职责
市、区县、镇(街道)依法设立防汛抗旱指挥机构,负责开展本辖区防汛抗旱工作;根据需要,可组建抢险救灾指挥部。有防汛抗旱任务的单位可根据自身职责设立相应的行业防汛抗旱办事机构,按照“行业管、管行业”的原则,做好本行业、本单位防汛抗旱工作。
2.1市级防汛抗旱指挥机构
市防汛抗旱指挥部(以下简称市防指)为市委防灾减灾救灾领导小组设立的防汛抗旱工作专项议事协调机构,负责组织领导全市防汛抗旱工作。市防汛抗旱指挥部办公室(以下简称市防指办公室)设在市应急局,承担指挥部日常工作;市防指在济南黄河河务局设黄河防汛办公室,负责济南黄河防汛日常工作。
市防指由市政府主要领导同志任指挥,市政府相关分管领导同志任常务副指挥;市政府秘书长、相关副秘书长、济南警备区司令员及市水务局、市应急局、市气象局、济南黄河河务局、武警济南支队、市消防救援支队主要负责同志任副指挥;市委、市政府有关部门(单位)和相关重点企业主要负责同志为指挥部成员。
2.1.1市防指职责
贯彻落实有关防汛抗旱工作的法律法规规定,执行上级命令,研究制定全市防汛抗旱事件应对措施和指导意见,指导监督防汛抗旱重大决策的贯彻落实;指挥全市重大防汛抗旱事件抢险救灾工作;组织开展全市防汛抗旱安全检查,统筹安排全市防汛抗旱物资和人员,做好全市水旱灾害后期处置协调工作;承担市委、市政府交办的其他事项。
2.1.2市防指成员单位职责
市防指各成员单位应认真贯彻执行市委、市政府决策部署和市防指工作要求,按照各自职责分工(详见附件)做好防汛抗旱工作,协同做好相关工作,形成防汛抗旱工作合力。
2.1.3市防指办公室职责
承担市防指日常工作,负责执行市防指指令,按规定向市委、市政府报告有关工作情况;及时准确掌握汛情、旱情、灾情和工情,向市防指提出防汛抗旱工作建议;组织编制(修订)市级防汛抗旱应急预案,按程序报批并指导实施;组织开展防汛抗旱督导检查,指导监督各区县和有关部门(单位)做好防汛抗旱工作;会同有关部门(单位)加强防汛抗旱物资储备调用;发布或授权相关单位发布雨情、墒情信息;做好防汛抗旱宣传工作,提高全社会防洪抗旱减灾意识;承担市防指安排的其他工作。
2.2抢险救灾指挥部
启动二级以上防汛抗旱应急响应时,结合防汛抗旱工作需要,成立市委、市政府抢险(抗旱)救灾指挥部,下设工作组。按照职责开展工作,需要重大事项决策时,由市防指指挥或常务副指挥签署命令。
指挥部视情下设综合协调、抢险救援、救灾建设、政策落实、市场保障、卫生防疫、情况报告、维护稳定、新闻宣传、专家会商等10个工作组。
(1)综合协调组。由市委办公厅、市政府办公厅、市应急局、市水务局、济南黄河河务局等有关部门(单位)组成,负责承担市抢险救灾指挥部日常组织协调工作,及时传达省委、省政府,市委、市政府以及省、市抢险救灾指挥部有关要求;协调各工作组、各区县指挥部开展防汛抗旱救灾相关工作,汇总调度工作情况,编发工作简报;做好文件传阅、归档以及会务筹备、灾情统计、文稿起草等相关工作。
(2)抢险救援组。由市应急局、市水务局、市公安局、济南通信网络保障中心、市自然资源和规划局、市交通运输局、济南黄河河务局、市消防救援支队等有关部门(单位)组成,负责组织各类救援队伍,协调解放军和武警部队,统筹调度救援物资设备,疏散、撤离受威胁人员,搜救失联人员,安抚死亡人员家属;提供地质灾害应急抢险救援技术支撑;做好现场管控和交通疏导工作,视情开设应急通道,保障应急处置人员车辆和物资装备通行需要;加强应急通信保障有关工作。
(3)救灾建设组。由市应急局、市水务局、市工业和信息化局、市交通运输局、市住房城乡建设局、市农业农村局、市发展改革委、济南通信网络保障中心、济南城市投资集团有限公司、国网济南供电公司、国网莱芜供电公司等有关部门(单位)组成,负责组织协调人员转移安置;负责指导受灾地区对各类已建、在建及损毁设施实施拉网式排查,积极开展水毁修复工作,确保工程质量,尽快恢复各类工程防灾减灾功能;指导受灾地区开展损毁设施农业、畜禽养殖场恢复重建以及大田作物除水排涝等工作;组织农业畜牧科技人员下乡,帮助受灾群众迅速开展生产自救,尽快恢复农业生产;指导灾区加快道路、桥梁、房屋、电力、通信等损毁设施抢修恢复工作;加强民居安全检测;指导受灾企业强化安全隐患排查,在确保安全的基础上,有序恢复生产;统筹保障重点建材产品生产和优质惠价供应;牵头超前谋划灾后重建工作,指导灾区做好重建规划的编制实施。
(4)政策落实组。由市财政局、市发展改革委、市自然资源和规划局、市水务局、市应急局、市农业农村局等有关部门(单位)组成,负责抓好涉及防汛抗旱救灾的资金、土地、社保、税收等政策落实,督促金融机构落实支持灾区重建灾毁房屋、农村农业设施、基础设施的有关措施;指导协调保险公司加快完成灾后理赔和惠民保险品种创新工作;协调有关部门(单位)积极争取省级补助资金;督促各级财政资金足额及时拨付到位;鼓励社会各界捐助,统筹安排捐助的物资、资金、劳务、技术等资源;督促各级审计部门做好全程跟踪审计工作,确保资金使用合规合理、公开透明、安全有效。
(5)市场保障组。由市市场监管局、市商务局等有关部门(单位)组成,负责指导灾区加强蔬菜肉蛋奶供应;强化价格监管,依法严厉打击哄抬物价、囤积居奇等违法行为,保证市场秩序稳定;科学调配物资,做好灾区群众生活保障,提供食品、饮用水、燃料等生活必需品,满足基本生活需要。
(6)卫生防疫组。由市卫生健康委、市市场监管局、市农业农村局等有关部门(单位)组成,负责指导灾区做好医疗救治、疾病预防控制和病死畜禽无害化处理等工作;加强受灾群众心理疏导,畅通受灾群众诉求渠道;及时组派卫生应急专家和队伍,做好灾区医疗卫生工作;强化灾区疫情监测,开展风险评估,及时提出防控工作建议;根据工作需要组建卫生应急现场指挥部,统一指挥防汛抗旱救灾医疗卫生相关工作,必要时向上级卫生行政部门请求派出专家组指导工作。
(7)情况报告组。由市委办公厅、市政府办公厅、市应急局、市水务局、济南黄河河务局等有关部门(单位)组成,负责统筹各区县、各有关部门(单位)值班、信息报送等工作力量,及时调度全市雨情、旱情、水情、汛情、风情以及抢险救灾、险情应对等工作情况,密切跟踪重点区县雨情、旱情、水情、汛情、风情和抢险救灾有关情况,发生突发险情、灾情的,第一时间报告市委、市政府和市防指办公室;及时向省委办公厅、省政府办公厅、省防汛抗旱指挥部、省抢险救灾指挥部、省应急厅、省水利厅等部门报告全市抢险救灾工作情况。
(8)维护稳定组。由市公安局、市应急局等有关部门(单位)组成,负责组织全市公安机关加强社会面管控,实施高等级巡防机制,提高路面见警率;有序排查各类安全隐患,及时为受灾群众提供帮助,全力做好抗灾救援工作;协助做好舆情应对,严防发生涉灾重大网络舆情负面炒作事件;加强灾区交通管理,保障道路安全畅通;强化涉灾重点个人、群体的动态管控,排查化解矛盾纠纷;依法严厉打击涉灾违法犯罪行为,保障灾区稳定。
(9)新闻宣传组。由市委宣传部、市委网信办、市公安局、市文化和旅游局、市应急局等有关部门(单位)组成,负责组织新闻媒体大力宣传各级党委、政府抢险救灾的决策部署和工作措施,定期协调有关部门(单位)、地区发布灾情和救灾情况,及时回应社会关切,依法严厉打击恶意炒作行为;对干部群众在抢险救灾工作中的感人事迹加大宣传力度,营造一方有难、八方支援、共克难关的良好氛围。
(10)专家会商组。由市应急局、市水务局、市自然资源和规划局、市住房城乡建设局、市气象局、市水文中心等有关部门(单位)组成,负责及时调度掌握雨情、旱情、水情、工情、险情、灾情;组织水务、水文、气象、建筑施工、安全等方面专家研判灾情形势,提出科学有效的抢险救灾建议。
工作组可根据抢险救灾现场工作需要设置。工作组之间要加强沟通协调、信息共享。各区县可参照成立本级抢险救灾指挥部。
2.3区县防汛抗旱指挥机构
各区县防汛抗旱指挥机构应当在市防指和区县党委、政府领导下,按照有关法律法规规定,统一组织、协调、监督本辖区防汛抗旱工作。
2.4其他防汛抗旱指挥机构
镇(街道)应当明确防汛抗旱工作承担机构和责任人员,全力做好本辖区防汛抗旱具体工作。
有防汛抗旱任务的单位可根据需要和机构设置的要求设立相关组织机构,负责本单位防汛抗旱工作。
2.5会商机制
市防指办公室应当根据汛情旱情演变,组织相关专家和成员单位研究预测汛情旱情发展趋势,分析对经济社会发展的影响,制订防汛抗旱抢险救灾、人员救助等工作方案,为市防指和各级领导提供决策依据。会商可采取视频会商、会议会商及现场会商等形式。
3应急准备
3.1明确责任
各级要强化属地管理责任,结合本地实际健全完善防汛抗旱指挥机构,优化设置防汛抗旱指挥部办公室,进一步提升专业水平,构建指挥顺畅、运转高效的防汛抗旱指挥机制。
各级要逐级严格落实防汛抗旱责任,压实行业部门和相关企事业、工程管理单位防汛抗旱责任,压紧巡查值守、预警发布、转移避险安置等重点环节防汛抗旱责任。各级防指应当公布防汛抗旱责任人。有防汛抗旱任务的部门(单位)要明确本部门(单位)责任人。各级各有关部门(单位)要落实河道重要堤防、险工险段、蓄滞洪区、水库、重点城区、山洪、地质灾害、重要设施防汛责任人,健全横向到边、纵向到底的责任体系。各级防汛抗旱责任人必须按要求履行防汛抗旱职责,入汛后不得擅自离岗,必须24小时保持联络畅通,防汛抗旱关键期必须加强值班值守。
3.2工程准备
各级各有关部门(单位)应当按照县级以上政府有关规划要求推进各类防洪工程建设、水利工程建设、水毁工程修复、病险水利工程设施除险加固以及城市排水除涝能力建设,指导和监督防洪工程管理单位做好日常管护,确保工程正常运行、安全度汛。
有关区县政府(含代管镇、街道的功能区管理机构,下同)应当做好蓄滞洪区、黄河滩区安全建设和运用准备相关工作。
3.3预案准备
各级防指及有关部门(单位)应当及时修订完善防汛抗旱应急预案、各类河道(湖泊)防御洪水方案、水库汛期调度运用计划和防御洪水方案、拦河闸坝控制运用计划、城市防汛应急预案、蓄滞洪区运用预案、山洪灾害防御预案和部门防汛抗旱相关预案等各类防汛抗旱预(方)案,按规定报批并组织实施。按照“一流域一案、一区县一案、一镇(街道)一案、一村(社区)一案、一行业一案”要求,做好防汛抗旱预案编制(修订)工作,形成全市防汛抗旱应急预案体系。
市应急局负责编制(修订)济南市防汛抗旱应急预案;市水务局负责编制(修订)骨干河道防御洪水方案(包含超标准洪水防御预案)、市属大型及中型水库防御洪水方案、蓄滞洪区运用方案;济南黄河河务局负责编制(修订)济南市黄河防洪预案(包含超标准洪水防御预案)、济南市黄河防凌预案、济南市黄河滩区运用预案;市消防救援支队负责编制(修订)济南市洪涝灾害应急救援预案;国网济南供电公司、国网莱芜供电公司分别负责编制(修订)济南市防汛抗旱电力保障应急预案、莱芜区钢城区防汛抗旱电力保障应急预案;济南通信网络保障中心负责编制(修订)济南市防汛通信保障应急预案。其他相关行业、部门防汛抗旱应急预案由行业主管部门负责编制(修订)。区县防指组织编制(修订)辖区防汛抗旱、建成区排水防涝、山洪灾害防御、黄河滩区迁安救护等相关预案。
3.4物资队伍准备
各级防指及有关部门(单位)应当根据应急物资保障体系建设有关要求和防汛抗旱抢险救灾工作需要,按照分级储备、分级管理和分级负担的原则做好防汛抗旱物资储备工作。
有防汛抗旱抢险救灾任务的各级各有关部门(单位)要按要求制定应急物资储备计划。做好抢险救灾物资采购、储备、保养、补充等工作,每年组织开展物资清查,提高防汛抗旱物资保障能力。
各区县政府应当结合实际,建立人民解放军和武警部队参与抢险救灾的应急协调机制,做好应急救援联调联战工作。
工程管理单位应当组建专(兼)职抢险队伍,按需配备工程抢险装备器材,承担巡堤查险、险情应急处置等任务。
镇(街道)、村(居)应当积极组织群众参加抗洪抗旱救灾。
3.5转移安置准备
按照属地管理原则,各区县政府负责本辖区人员转移工作,应当提前明确应急避难场所并及时向社会公告,部署转移安置各项准备工作,将相关补助经费纳入本级财政预算,并组织、督促、指导县级以下基层政府以及村组实施本辖区人员转移工作。
各区县、镇(街道)、村(居)和相关单位应当编制人员转移方案,明确转移安置工作流程、转移线路、集中安置点和各环节的责任单位及责任人。统计管辖范围内需转移人员数量和实际转移人员数量,针对可能受洪涝灾害影响区域的人员设立台账,建立档案,确定转移避险路线、交通工具、安置地点,落实转移安置保障措施,并组织开展人员转移演练工作。
应急、教育、工业和信息化、公安、自然资源和规划、住房城乡建设、交通运输、水务、卫生健康、文化和旅游等有关部门(单位)按照职责分工配合做好人员转移安置工作。相关企事业单位和其他社会组织负责做好本单位人员转移安置工作。
3.6救灾救助准备
各区县政府应当完善政府救助、保险保障、社会救济、自救互救“四位一体”的自然灾害救助机制,提升灾害救助水平,帮助受灾群众快速恢复生产生活,避免因灾返贫、因灾致贫,维护社会和谐稳定。建立灾害民生综合保险制度,充分发挥保险机制在减灾救灾中的作用。
3.7防汛抗旱检查
各级防指应当结合实际,组织有关部门(单位)、企事业单位对防汛抗旱安全隐患、薄弱环节等风险源实施排查梳理,分类施策,采取监控、巡查、清除等有针对性的应对措施。防汛抗旱检查采取单位自查、行业检查、综合检查等方式,针对责任落实、机制建立、工程设施建设管护、预案编制、应急演练、物资保障、队伍建设、值班值守、人员转移避险等方面排查安全隐患和薄弱环节,落实整改措施,确保防汛抗旱工作顺利开展。
3.8技术准备
自然资源和规划、住房城乡建设、交通运输、水务、农业农村、应急、黄河河务、气象、水文等有关部门(单位)要加强专家力量建设,强化防汛抗旱技术支撑,及时提出工作建议,按照市防指部署要求参与检查督导、抢险救援、抗旱救灾、调查评估和人员培训等工作。
各级防指应不断完善应急指挥调度系统等平台建设,加强防汛抗旱信息资源共享,积极运用大数据、云计算、地理信息等新技术新方法提高灾害信息获取、预报预测、风险评估、应急保障能力,统筹专业技术力量,服务防汛抗旱救灾工作。
3.9宣传培训
各级各有关部门(单位)要协调新闻媒体,开展防汛抗旱社会宣传,提高群众避险自救能力和防灾减灾意识。市、区县政府或防指应当组织市、区县行政首长开展防汛抗旱培训,提高领导干部防汛抗旱应急处置能力。各区县要加强对镇(街道)、村(居)防汛抗旱责任人的培训。
4监测预警
4.1监测
各有关部门(单位)根据自身职责,及时收集、分析、报送本部门(单位)或本行业有关气象、雨情、旱情、水情、工情、险情、灾情等信息。
4.1.1气象信息
市气象部门及时提供灾害性天气预报和预警信息,根据市防指要求,建立实时联动机制,做好临近短时预报。
4.1.2水文信息
市水文部门对市区各铁路立交道、低洼地区、主要道路以及水库、河道等水文设施实施监测,及时报告全市雨情,预测水情等信息。
4.1.3工情信息
市水务部门及时提供水库、河道、排水管网、排涝泵站等工情信息。济南文旅发展集团有限公司及时提供护城河、大明湖工情信息。济南黄河河务局及时提供黄河济南段工情信息。市自然资源和规划部门及时提供地质灾害相关信息。其他有关部门(单位)按照自身职责做好相关工情信息监测并及时报告。各区县防指应当及时提供本辖区各类工情信息。
4.1.4洪涝灾害信息
洪涝灾害信息主要包括灾害发生的时间、地点、范围、灾情发展趋势、财产损失、人员伤亡等情况。洪涝灾害发生后,有关部门(单位)按规定迅速及时收集灾情,全面掌握受灾情况,及时报送同级政府和防汛抗旱指挥机构,并做好跟踪核实上报工作,为抗灾救灾提供准确信息。
4.1.5旱情信息
旱情信息监测内容主要包括:雨情、水情、土壤墒情,干旱发生的时间、地点、程度、受旱范围、影响人口以及对城乡生活、工农业生产、生态环境等方面造成的影响。
各级防指办公室要及时准确收集旱情信息,掌握雨水情变化、当地蓄水情况、农田土壤墒情和城乡供水情况,加强旱情监测。
4.2预警
各有关部门(单位)应建立预警信息报送、发布制度,督促、提醒相关企业、单位、公众做好防汛抗旱准备。市防指办公室及时分析研判全市防汛抗旱形势,提出预警、应急响应建议。
4.2.1部门预警
4.2.1.1暴雨预警
市、区县气象部门应当加快精细化暴雨预报技术和短临预警技术攻关,提高预报精度,及时向社会发布降雨和短临预报预警。暴雨预报预警区内各有关部门(单位)应当加快部署防范应对工作,结合行业风险特点,提出本系统风险管控要求并督促落实;有关区县、镇(街道)应当根据当地防汛工作实际,加强监测预警,落实落细防范措施,紧盯山洪和地质灾害易发区、城乡易涝区、工程薄弱段等重点部位及薄弱环节,视情报请同级党委、政府提前采取停课、停工、停业、停运、停产措施,果断组织转移危险区群众,先期处置突发险情,全力确保人民群众生命财产安全。
4.2.1.2洪水预警
发生强降雨,主要行洪河道、水库出现涨水情形时,水文部门应当做好洪水预报工作,及时向本级防指和有关部门(单位)报告水位、流量实测情况和洪水变化趋势,并及时发布预警信息。
河道湖泊达到警戒水位或警戒流量并预报继续上涨,或者大中型水库达到防洪高水位(或允许壅高水位)或小型水库接近设计水位(或达到警戒水位)并预报继续上涨的,水务部门应当按照职责、权限分工发布洪水预警,并报本级防指。应急部门按照部署要求,指导有关部门(单位)提前组建抢险队伍,预置抢险物资,开展巡查值守,做好应急抢险和人员转移准备。
4.2.1.3山洪灾害预警
水务、气象等部门要密切联系,相互配合,实现信息共享,提高预报水平,及时发布预报警报。山洪灾害防治区内区县、镇(街道)党委政府应当根据山洪灾害成因和特点,主动采取预防、预警和避险措施,及时组织群众转移避险。
4.2.1.4台风预警
市、区县气象部门应当密切监视台风动向,做好未来趋势预报,及时将台风(含热带风暴、热带低压)中心位置、强度、移动方向和速度等信息报本级政府和防指。预报受台风影响地区应迅速做好防台风工作。有关区县和部门(单位)要检查加固建设工地、危房、仓库、交通道路、轨道交通(地铁)、电信电缆、电力电线、户外广告牌等公用设施,做好危险区域人员转移安置工作。
4.2.1.5干旱预警
水务部门、水文部门要及时掌握旱情,按照职责适时发布干旱预警。预计因旱供水水源短缺出现供水危机时,供水部门(单位)要及时向当地政府和防汛抗旱指挥机构报告,通知用水单位、个人做好节水、储备应急用水准备。
4.2.2市防指预警
4.2.2.1防汛预警
(1)预警发布。监测预警职能部门(单位)负责发布和解除预警信息,并同步报送市防指办公室。市防指办公室汇总预警预报等基础信息,分析全市防汛形势,经会商研判后,向市防指提出防汛预警建议,及时发布防汛预警。市防指成员单位及时在本系统内转发相应防汛预警信息。市委宣传部、市委网信办、市文化和旅游局、市应急局、市公安局交警支队、济南广播电视台等有关部门(单位)及时向社会发布预警信息。
(2)预警行动。市防指组织有关部门(单位)加强联合值班值守,及时会商,做好启动应急响应准备。市防指办公室应当加强值守,及时汇总、发布各类汛情信息,调度相关情况,密切监控降雨和汛情演变,及时报告市防指。市防指成员单位按照职责分工,部署本行业防汛工作,及时向市防指办公室报告相关情况。
自然资源和规划、水务、气象、水文等部门密切监测天气及汛情变化,及时上报市防指办公室。水务、黄河河务等部门做好防洪工程调度。应急、消防救援等部门统筹有关应急救援力量,做好抢险救援准备。
济南广播电视台及时播报汛情预警信息。
区县防指具体安排部署本辖区防汛工作,加强调度、监测、巡查和值守,组织防汛抢险队伍随时待命,做好易积水区域排水救援设备预置、群众安全转移等准备工作,重要情况及时上报。
各级各主管部门提前分析研判,做好紧急情况下果断采取停课、停工、停业、停运、停产措施准备,并按规定(要求)组织实施。
(3)预警解除。根据汛情变化,市防指办公室及时提出汛情预警解除建议,按程序解除。
4.2.2.2抗旱预警
市防指根据干旱预警,结合雨情、水情、墒情、气象等条件,及时组织会商分析,综合研判旱情发展趋势,针对即将发生的农作物受旱、人畜饮水困难、城镇供水水源短缺等情况,发布抗旱预警。
抗旱预警启动后,各级防汛抗旱指挥机构和相关防指成员单位要根据各自职责分工组织做好抗旱应对准备工作。旱区各级防汛抗旱指挥机构密切关注天气变化,加强旱情监测分析,优化抗旱水源调配,科学编制供水计划,强化节水宣传,切实做好抗旱应对准备工作。旱情威胁解除后,市防指及时解除抗旱预警。
5应急响应
根据汛情变化、暴雨、大中型河道洪水流量、城区低洼地段积水、山洪等险情、干旱严重程度以及防御能力等综合因素,确定防汛抗旱响应级别。由低到高划分为一般(四级)、较重(三级)、严重(二级)、特别严重(一级)4个响应级别。
由市防指根据汛情旱情预警及工情、险情、灾情等情况启动应急响应。
对符合防汛抗旱应急响应启动条件的,相关部门(单位)和灾害影响地区防指应按照预案先行启动响应,组织抢险救灾,并同时报告地方党委、政府和上级防指。市防指相关部门(单位)和各区县防指启动或调整应急响应,应与市防指响应等级相衔接,灾害主要影响地区应急响应等级不得低于市级。
5.1四级应急响应
5.1.1启动条件
5.1.1.1符合以下条件之一的,启动防汛四级应急响应:
(1)黄河花园口站发生4000~5000(不含5000)立方米秒的洪水,或泺口站发生4000~5000(不含5000)立方米秒的洪水,或凌汛期发生冰塞阻水,引发个别滩区漫滩(10%以下),或堤防、水闸工程出现较大险情,或险工、控导工程发生重大险情;
(2)小清河、大汶河、徒骇河、德惠新河之一的重要支流发生较大险情,或某条中型河道发生较大险情;
(3)某座小(2)型水库发生重大险情,或2座(含)以上小(1)型水库同时发生较大险情;
(4)某条主城区主要河道发生较大险情;
(5)主城区主干道路、低洼地区、立交桥下出现积水或出现道路行洪现象;
(6)两个及以上区县发生一般或以上洪涝灾害。
5.1.1.2符合以下条件之一的,启动抗旱四级应急响应:
(1)农作物受旱面积达到50万~100万亩;
(2)区域农业旱情指数0.1≤Ia<0.6;
(3)农作物生长期内连续无有效降雨的天数春秋季15~30天,夏季10~20天,冬季20~30天;
(4)山丘区因旱临时性饮水困难人口1万~5万人;
(5)两个以上区县同时发生轻度干旱;
(6)5%<城市干旱缺水率≤10%,出现缺水现象,城市生活、生产用水受到一定程度影响。
5.1.2响应行动
(1)市防指副指挥签署启动四级应急响应命令,适时组织有关部门(单位)研究分析汛情旱情可能影响情况以及防御重点和对策,部署有关工作。
(2)市防指办公室组织有关部门(单位)联合值班值守,密切监视汛情旱情发展变化,加强值班调度,及时传达领导指示和汛情旱情信息。
(3)市防指成员单位分管负责人到岗到位,按照职责分工,做好防汛抗旱工作,协同做好应急处置工作,相关情况及时上报市防指。
(4)行业主管部门督促、指导落实本行业防御措施,开展隐患巡查工作,组织行业督导检查,统计、核实并按规定报送行业受灾情况。
(5)自然资源和规划、水务、气象、水文等部门加强监测预报预警及信息发布。
(6)公安、住房城乡建设、交通运输、水务、卫生健康、应急、通信、电力、能源等部门协调做好社会安全、防汛抗旱救灾车辆、供水、卫生防疫、通信、电力、油气等方面应急保障工作。
(7)抢险救援力量提前向可能受影响地区预置队伍和装备,视情开展抢险救援。
(8)根据险情发展需要和地方请求,应急、消防救援部门统筹全市应急救援力量,协助地方开展抗洪抢险、抗旱救灾、应急救援救灾等应急处置。视情协调人民解放军驻济有关单位、武警和民兵参与应急处置。
(9)水务、黄河河务等部门做好防洪工程调度。应急部门统一做好灾情信息发布,并根据地方请求,会同水务、黄河河务等有关部门(单位)调拨防汛抗旱物资。
(10)加强水资源统一管理,做到开源与节流并举,合理调配水资源。地表水相对贫乏的地区,在降低5%的灌溉定额的同时,通过开采地下水、实施人工增雨等措施尽可能满足需水要求。
(11)相关区县防指副指挥及时到岗到位,靠前指挥,组织开展防汛应急处置、抗旱救灾工作。各有关部门(单位)组织做好防洪工程调度、防汛抢险救灾、抗旱救灾、人员避险转移安置等工作,相关情况及时上报市防指。
5.2三级应急响应
5.2.1启动条件
5.2.1.1符合以下条件之一的,启动防汛三级应急响应:
(1)市气象局发布暴雨黄色预警信号,经综合研判,预计对全市部分区域产生较重影响或有较重程度致灾性;
(2)黄河花园口发生5000~6000(不含6000)立方米秒的洪水,或泺口站发生5000~6000(不含6000)立方米秒的洪水,或凌汛期发生冰塞阻水,引发局部滩区漫滩(10%~30%),或堤防、水闸工程发生重大险情;
(3)小清河、大汶河、徒骇河、德惠新河之一发生较大险情,或2条(含)以上中型河道发生较大险情,或小清河、大汶河、徒骇河、德惠新河之一重要支流发生重大险情;
(4)某座小(2)型水库发生溃坝,或某座小(1)型水库发生重大险情;
(5)某条主城区主要河道发生重大险情,或2条(含)以上主城区主要河道发生较大险情;
(6)主城区主干道路、低洼地区、立交桥下积水或道路行洪影响车辆、行人通行及人民群众生命财产安全;
(7)两个及以上区县发生较大或以上洪涝灾害。
5.2.1.2符合以下条件之一的,启动抗旱三级应急响应:
(1)农作物受旱面积达到100万~160万亩;
(2)区域农业旱情指数0.6≤Ia<1.2;
(3)农作物生长期内连续无有效降雨的天数春秋季31~50天,夏季21~30天,冬季31~60天;
(4)山丘区因旱临时性饮水困难人口5万~10万人;
(5)两个以上区县同时发生中度干旱;
(6)10%<城市干旱缺水率≤20%,出现明显缺水现象,城市生活、生产用水受到较大影响。
5.2.2响应行动
(1)市防指副指挥签署启动三级应急响应命令,适时组织有关部门(单位)研究分析汛情旱情可能影响情况以及防御重点和对策,部署有关工作。
(2)市防指办公室组织有关部门(单位)联合值班值守,密切监视汛情旱情发展趋势和水情、雨情、工情,及时将汛情旱情信息报告市防指,传达领导指示、汛情旱情信息,通过新闻媒体发布汛情旱情通报。
(3)市防指派出工作组和专家组,指导相关区县做好防汛抗旱工作。
(4)市防指成员单位分管负责人到岗到位,密切关注汛情、旱情、险情、灾情发展变化,按照职责分工做好防汛抗旱工作,相关情况及时上报市防指。
(5)行业主管(监管)部门加强隐患排查工作,强化防御措施的落实和检查;组织行业抢险队伍做好抢险救援,开展抢险救灾工作;统计、核实并按规定报送行业受灾情况。
(6)自然资源和规划、水务、气象、水文等部门加强监测预报预警及信息发布。水务、应急、消防救援等部门做好救援、抢险、排涝力量物资预置工作,随时待命赴灾区增援。
(7)公安、住房城乡建设、交通运输、水务、卫生健康、应急、通信、电力、能源等部门协调做好社会安全、防汛抗旱救灾车辆、供水、卫生防疫、通信、电力、油气等方面应急保障工作。
(8)抢险救援力量协助受影响地区政府开展抢险突击、群众疏散转移等工作。
(9)根据汛情、旱情、险情发展需要和地方请求,应急、消防救援部门统筹全市应急救援力量开展应急救援救灾工作,实施受灾群众生活救助,协调人民解放军驻济有关单位、武警和民兵参与应急处置。
(10)水务、黄河河务等部门做好防洪工程调度。根据地方请求,应急部门协同调拨防汛抗旱物资。
(11)加强水资源统一管理,做到开源与节流并举,合理调配水资源。地表水相对贫乏的地区,在降低10%灌溉定额的同时,通过打井、开采地下水、补充地表水、节水灌溉等措施尽可能满足需水要求。在有条件的地方积极实施人工增雨。
(12)相关区县防指副指挥到岗到位,积极开展防汛应急处置、抗旱救灾工作。各有关防汛抗旱责任人在岗在位,靠前指挥,组织做好防汛应急处置、抗旱救灾工作。对重要堤防、重点工程实施加密巡查,出现险情及时抢护,提前向下游和左右岸受威胁地区发出预警,相关情况及时上报市防指。
(13)视情请求省防指在专家、队伍、装备、物资等方面给予支援。
5.3二级应急响应
5.3.1启动条件
5.3.1.1符合以下条件之一的,启动防汛二级应急响应:
(1)市气象局发布暴雨橙色预警信号,经综合研判,预计对全市部分区域产生严重影响或有严重程度致灾性;
(2)黄河花园口发生6000~8000(不含8000)立方米秒的洪水,或泺口站发生6000~8000(不含8000)立方米秒的洪水,或滩区发生部分漫滩(30%~60%),或凌汛期发生冰塞、冰坝,严重影响工程和滩区群众安全,或堤防、水闸等工程发生多处重大险情;
(3)小清河、大汶河、徒骇河、德惠新河之一发生重大险情,或2条(含)以上中型河道发生重大险情,或小清河、大汶河、徒骇河、德惠新河之一重要支流发生漫溢决口;
(4)某座小(1)型水库发生溃坝,或某座中型水库发生重大险情;
(5)2条(含)以上主城区主要河道发生重大险情;
(6)主城区发生洪涝灾害,低洼地区、立交桥下积水较重,出现道路行洪、道路积水,造成城区主干道交通瘫痪;
(7)两个及以上区县发生严重或以上洪涝灾害。
5.3.1.2符合以下条件之一的,启动抗旱二级应急响应:
(1)农作物受旱面积达到160万~260万亩;
(2)区域农业旱情指数1.2≤Ia<2.1;
(3)农作物生长期内连续无有效降雨的天数春秋季51~75天,夏季在30~50天,冬季在61~80天;
(4)山丘区因旱临时性饮水困难人口10万~20万人;
(5)两个以上区县同时发生严重干旱;
(6)20%<城市干旱缺水率≤30%,出现严重缺水现象,城市生活、生产用水受到严重影响。
5.3.2响应行动
(1)市防指常务副指挥或委托副指挥签署启动二级应急响应命令,组织有关部门(单位)部署防汛抢险救灾、抗旱救灾工作,有关情况及时报告市委、市政府和省防指。
(2)市防指办公室组织有关部门(单位)联合值班值守,密切监视汛情旱情发展情况,收集汇总分析雨情、水情、工情、险情、灾情信息,组织事发地政府异地会商分析形势,制定应对措施,及时向市防指报告,按规定在新闻媒体上发布汛情旱情通报。
(3)市防指按照灾害类别,派出由有关部门(单位)、专家组成的工作组和专家组,指导相关区县做好防汛抗旱工作,并视情建议市委、市政府成立抢险救灾指挥部和前线指挥部。
当发生河道、水库重大险情和严重山洪灾害时,市水务局做好专家技术支撑工作,市防指办公室协调做好抢险队伍和物资保障。济南通信网络保障中心做好通信保障。
当发生重大地质灾害时,市自然资源和规划局做好专家技术支撑工作,市防指办公室协调做好抢险队伍和物资保障。济南通信网络保障中心做好通信保障。
当发生严重城市内涝时,市水务局做好内涝排水的专家技术支撑工作,市防指办公室协调做好抢险队伍和物资保障。济南通信网络保障中心做好通信保障。
当发生黄河重大险情时,济南黄河河务局做好专家技术支撑工作,市防指办公室协调做好抢险队伍和物资保障。济南通信网络保障中心做好通信保障。
当发生干旱灾害时,市水务局、市气象局做好专家技术支撑工作,市防指办公室协调做好抢险队伍和物资保障。济南通信网络保障中心做好通信保障。
当其他重要基础设施发生重大险情时,行业主管部门做好专家技术支撑工作,市防指办公室协调做好抢险队伍和物资保障。济南通信网络保障中心做好通信保障。
(4)市防指成员单位主要负责人到岗到位,加强值守,相关情况及时上报市防指。
(5)市防指成员单位按照职责分工做好相关工作,调配资源,全力做好抢险救灾和应急保障工作,及时查灾核灾,按规定续报受灾情况,并将相关工作情况按要求上报市防指,重要情况第一时间上报。
(6)自然资源和规划、水务、气象、水文等部门加强监测预报预警及信息发布。水务、应急、消防救援等部门增调救援、抢险、排涝力量物资,及时赶赴灾区增援。
(7)各主管部门按照职责分工,广泛调动资源,协调各方力量,全力做好抢险救灾、抗旱救灾和应急保障工作。
公安部门组织做好灾区治安管理和防汛抢险时的警戒、安全保卫工作,实施必要的交通管控,及时疏导车辆、行人。引导抢险救援、抗旱救灾车辆有序快速通行。
交通运输部门组织做好防汛抗旱物资运输、抢险救援、抗旱救灾力量投送、大规模滞留人员疏散、转移和受损公路、铁路、桥梁抢修。做好轨道交通、公交站、客运站防涝排水和公交车、出租车紧急避险工作。
济南通信网络保障中心组织电信运营企业,为防汛抗旱重点区域、重点部位和抢险救灾现场提供通信保障。全力开展通信保障、网络抢修和网络恢复工作,重点保障要害部门通信畅通。
电力部门统筹调集抢险队伍、应急发电装备,为防汛抗旱重点区域、重点部位和抢险救灾现场提供电力保障。督导电力防汛抢险、抗旱救灾工作,及时更新发布受灾情况、救援力量、复电进度等信息。保障城市生命线及防汛抗旱重要用户的电力供应。指导基层做好配电站房防淹工作。
(8)宣传部门组织新闻媒体及时更新、滚动播报暴雨、洪水、旱情的有关信息,召开新闻发布会,加强正面宣传报道和舆论引导。
(9)根据汛情、旱情、险情发展需要和地方请求,应急、消防救援部门统筹全市应急救援力量开展应急救援救灾,实施受灾群众生活救助,协调人民解放军驻济有关单位、武警和民兵参与应急处置。
(10)水务、黄河河务等部门做好防洪工程调度。根据地方请求,应急部门协同调拨防汛物资。
(11)强降雨区的党委、政府按照转移避险应急预案确定的转移区域、转移人员、转移路线,组织好相关人员的转移工作,转移至安全地点并妥善安置。要落实转移安全责任制,做到应转尽转、不落一人。
(12)加强水资源统一管理,做到开源与节流并举,合理调配水资源。加强灌区工程管理,及时配备应急水源工程,因地制宜地搞好调度。适时限制或关闭高耗水行业,为灾区的生活和生产及时供水。地表水相对贫乏的地区,在降低15%灌溉定额的同时,通过打井、开采地下水、补充地表水、节水灌溉等措施尽可能满足需水要求。根据水源的可开采量,实行应急开源、应急限水、应急调水、应急送水等措施,最大限度减少旱灾损失。在有条件的地方积极实施人工增雨。
(13)相关区县防指指挥到岗到位,在市防指统一指挥下,积极开展防汛应急处置、抗旱救灾工作,重要情况第一时间上报。包保重点工程和区县的市领导、防指成员到分管区域组织指挥防汛抗旱工作。各级防汛抗旱责任人在岗在位,靠前指挥,组织做好防汛抢险、抗旱救灾应急处置工作。
(14)预报强降雨区党委、政府视情采取停课、停工、停业、停运、停产等措施,加强对地下商场、地下停车场、下沉式隧道、铁路立交、易涝点等部位的值守管控,并封闭危险路段,实行交通管制。轨道交通管理部门加强对轨道交通(地铁)的值守管控,实施关闭措施,严防雨水倒灌引发事故灾害。
(15)视情请求省防指在专家、队伍、装备和物资方面给予支援。
5.4一级应急响应
5.4.1启动条件
5.4.1.1符合以下条件之一的,启动防汛一级应急响应:
(1)市气象局发布暴雨红色预警信号,经综合研判,预计对全市部分区域产生特别严重影响或有特别严重程度致灾性;
(2)黄河花园口发生8000立方米秒以上的大洪水,或泺口站发生超过8000立方米秒的洪水,或大部滩区漫滩(60%以上),或凌汛期出现重大凌情,或堤防、水闸等多处工程发生重大险情,或堤防可能出现决口;
(3)小清河、大汶河、徒骇河、德惠新河中2条(含)以上同时或多处发生重大险情,或某条中型河道发生漫溢决口;
(4)2座(含)以上中型水库同时发生重大险情,或某座大型水库发生重大险情;
(5)某条主城区主要河道出现漫溢;
(6)主城区发生严重洪涝灾害,出现严重道路行洪、道路积水,造成城区大面积交通瘫痪;
(7)两个及以上区县发生特大洪涝灾害。
5.4.1.2符合以下条件之一的,启动抗旱一级应急响应:
(1)农作物受旱面积达到260万亩以上;
(2)区域农业旱情指数2.1≤Ia≤4;
(3)农作物生长期内连续无有效降雨的天数春秋季在75天以上,夏季在50天以上,冬季在80天以上;
(4)山丘区因旱临时性饮水困难人口20万人以上;
(5)两个以上区县同时发生特大干旱;
(6)城市干旱缺水率>30%,出现极为严重的缺水局面或发生供水危机,城市生活、生产用水受到极大影响。
5.4.2响应行动
(1)市防指指挥或委托常务副指挥签署启动一级应急响应命令,组织成员单位会商,部署防汛抢险、抗旱救灾工作。
(2)市防指办公室加强值班值守力量,密切监视汛情旱情发展变化,及时收集汇总分析雨情、水情、工情、险情、灾情信息,及时向市防指汇报。做好重点工程调度,视情紧急调拨防汛抗旱物资、调度防汛抢险、抗旱救灾队伍。
(3)市防指按照灾害类别,派出由有关部门、专家组成的工作组和专家组,指导相关区县做好防汛抗旱工作。
当发生河道、水库重大险情和严重山洪灾害时,市水务局做好专家技术支撑工作,市防指办公室协调做好抢险队伍和物资保障。济南通信网络保障中心做好通信保障。
当发生重大地质灾害时,市自然资源和规划局做好专家技术支撑工作,市防指办公室协调做好抢险队伍和物资保障。济南通信网络保障中心做好通信保障。
当发生严重城市内涝时,市水务局做好内涝排水的专家技术支撑工作,市防指办公室协调做好抢险队伍和物资保障。济南通信网络保障中心做好通信保障。
当发生黄河重大险情时,济南黄河河务局做好专家技术支撑工作,市防指办公室协调做好抢险队伍和物资保障。济南通信网络保障中心做好通信保障。
当发生干旱灾害时,市水务局、市气象局做好专家技术支撑工作,市防指办公室协调做好抢险队伍和物资保障。济南通信网络保障中心做好通信保障。
当其他重要基础设施发生重大险情时,行业主管部门做好专家技术支撑工作,市防指办公室协调做好抢险队伍和物资保障。济南通信网络保障中心做好通信保障。
(4)市委、市政府成立抢险救灾指挥部和前线指挥部。
(5)市防指成员单位主要负责人到岗到位,加强值守,相关情况及时上报市防指。
(6)市防指成员单位按照职责分工做好相关工作,调配资源,全力做好抢险救灾和应急保障工作,及时查灾核灾,按规定续报受灾情况,工作情况按要求上报市防指,重要情况第一时间上报。
(7)水务、气象、水文等部门加强信息调度分析,持续做好会商研判,随时报送监测预报、水利工程运行、城市内涝、抢险救援等情况。
(8)各主管部门按照职责分工,广泛调动资源,协调各方力量,全力做好抢险救灾、抗旱救灾和应急保障工作。
公安部门组织做好灾区治安管理和防汛抢险时的警戒、安全保卫工作,实施必要的交通管控,及时疏导车辆、行人。引导抢险救援、抗旱救灾车辆有序快速通行。
交通运输部门组织做好防汛抗旱物资运输、抢险救援、抗旱救灾力量投送、大规模滞留人员疏散、转移和受损公路、铁路、桥梁抢修。做好轨道交通、公交站、客运站防涝排水和公交车、出租车紧急避险。
济南通信网络保障中心组织电信运营企业,为防汛抗旱重点区域、重点部位和抢险救灾现场提供通信保障。全力开展通信保障、网络抢修和网络恢复工作,重点保障要害部门通信畅通。
电力部门统筹调集抢险队伍、应急发电装备,为防汛抗旱重点区域、重点部位和抢险救灾现场提供电力保障。督导电力防汛抢险、抗旱救灾工作,及时更新发布受灾情况、救援力量、复电进度等信息。保障城市生命线及防汛抗旱重要用户的电力供应。指导基层做好配电站房防淹工作。
(9)宣传部门按照抢险救灾指挥部部署,组织新闻媒体及时发布汛情旱情通报,召开新闻发布会,加强正面宣传报道和舆论引导。
(10)水务、黄河河务部门实施防洪工程联合调度,财政部门紧急拨付救灾资金,应急等有关部门(单位)组织指导地方转移救助受灾群众,统筹抢险救援力量,协调人民解放军驻济有关单位、武警和民兵参与应急处置。
(11)强降雨区的党委、政府按照转移避险应急预案确定的转移区域、转移人员、转移路线,组织好相关人员的转移工作,转移至安全地点并妥善安置。要落实转移安全责任制,做到应转尽转、不落一人。
(12)在水资源科学配置方面,按照“先生活、后生产,先节水、后调水,先重点、后一般”的原则,加强水资源统一管理,做到开源与节流并举,合理调配水资源。加强灌区工程管理,及时建设配套应急水源工程,因地制宜地搞好调度。关闭高耗水行业,城市企事业单位和机关单位学校及居民要严格控制用水。地表水相对贫乏的地区,在降低20%灌溉定额的同时,通过打井、开采地下水、补充地表水、节水灌溉等措施尽可能满足用水需求。根据水源的可开采量,实行应急开源、应急限水、应急调水、应急送水等措施,最大限度减少旱灾损失。在有条件的地方积极实施人工增雨。
(13)相关区县防指指挥到岗到位,在市防指统一指挥下,积极开展防汛抢险、抗旱救灾工作,重要情况第一时间上报。包保重点工程和区县的市领导、防指成员到分管区域组织指挥防汛抗旱工作。各级防汛抗旱责任人在岗在位,靠前指挥,组织做好防汛抢险、抗旱救灾应急处置工作。
(14)预报强降雨区党委、政府果断采取停课、停工、停业、停运、停产等措施,加强对地下商场、地下停车场、下沉式隧道、铁路立交、易涝点等部位的值守管控,并封闭危险路段,实行交通管制。轨道交通管理部门加强对轨道交通(地铁)的值守管控,实施关闭措施,严防雨水倒灌引发事故灾害。
(15)请求省防指在专家、队伍、装备和物资方面给予支援。
5.5响应调整
当响应条件发生变化时,市防指办公室应当报市防指领导同意后及时调整响应等级。
5.6响应终止
重大险情基本消除、生产生活秩序基本恢复后,可按程序终止应急响应。
6信息报告与发布
6.1信息报告
信息报告内容主要包括雨情、水情、工情、险情、灾情等信息,险情(灾情)发生时间、地点、影响范围、基本过程、财产损失、人员伤亡情况、已采取应对措施、需要支援事项以及报告人姓名、单位、联系电话等。
市防指成员单位负责通过各自行业系统渠道,汇总上报职责范围内信息;市防指办公室负责汇总全市信息,按规定向省防指、市政府报告,并通报有关部门(单位)。发生重特大防汛突发事件的,由市政府按程序向省政府报告。
突发险情、灾情报告分为首次报告和续报。发生较大和比较敏感的一般险情灾情时,所在地的区县防指以及有关市防指成员单位在发生后20分钟内电话报市防指办公室,45分钟内书面报告,详细信息报告不晚于事件发生后2小时。发生突发重大险情灾情时,所在地的区县防指以及有关市防指成员单位在发生后15分钟内报市防指办公室(市防指在发生后30分钟内报省防指办公室);骨干河道重要堤防、涵闸等及大型和防洪重点中型水库发生的重大险情应在险情发生后立即报告市防指办公室、省防指办公室和国家防总办公室。险情或灾情发生后,有关责任部门(单位)应当及时掌握有关情况并做好首次报告。突发险情、灾情发展过程中,根据险情、灾情变化情况及抢险救灾情况,做好续报工作,直至险情排除、灾情稳定或结束。
防汛应急信息报送和处理应坚持快速、准确、详实原则,重要信息立即上报。由于客观原因无法立即准确掌握的信息,应及时报告基本情况,同时尽快了解情况,及时补报详情。
6.2信息发布
信息发布应当坚持及时、准确、客观、全面原则,按规定统一发布汛情、旱情、灾情以及相关突发事件事态发展、应急救援处置工作等信息。
防汛抗旱及抢险救灾等信息由市防指和区县防指审核发布;涉及灾情的,由应急部门审核和发布;涉及军队的,由军队有关部门审核和发布。
信息可利用广播、电视、报刊、电话、微信、微博、手机短信、警报器、显示屏、宣传车或组织人员入户通知等方式发布。对老、弱、病、残、孕等特殊人群以及学校等特殊场所、警报盲区应当采取有针对性的发布方式。
7后期处置
在市委、市政府统一领导下,由市政府有关部门(单位)和区县政府组织开展善后处置和灾情核定,及时收集、清理和处理污染物,对受灾情况、人员补偿、征用物资补偿、重建能力、可利用资源等作出评估,制定补偿标准和灾后恢复计划并组织实施。所需资金由市、区县财政部门和相关单位负责安排。
7.1水毁工程修复
对影响防洪安全的水毁工程,应当尽快实施修复。对其他遭到毁坏的防洪、交通、电力、通信、供油、供气、供水、排水、房屋、人防、跨河管线、水文设施以及防汛抗旱专用通信设施,分别由相关产权部门负责修复重建。
7.2灾后重建
受灾地区恢复生产、重建家园相关工作由所在地区县政府负责,原则上应当按照原标准实施恢复,在条件允许的情况下,可提高标准重建。
7.3保险理赔
受灾地区投保的水毁设施、设备以及居民财产损失由市、区县相关部门(单位)按照有关规定组织赔付。
7.4生活安置
市、区县应急部门会同有关方面安置受灾群众,保障群众基本生活。
7.5其他处置工作
各有关部门(单位)应当根据自身职责做好疫情处理、污染物清除、征用调用物资费用补偿、取土占地复垦、砍伐林木补种、防汛抗旱物资补充等其他善后处置工作。
7.6总结评估
汛情旱情过后,受灾区县政府、防指应当针对防汛抗旱救灾工作各个方面和环节开展定性定量分析评估,提出改进措施,形成评估报告,按规定报市政府及市防指。
8保障措施
8.1后勤保障
市应急部门负责会同有关方面紧急转移安置受灾群众,做好受灾群众生活救助工作。市卫生健康部门负责做好传染病预防与控制和医疗救护工作。市水务、住房城乡建设部门以及国网济南供电公司、国网莱芜供电公司、中石化销售股份有限公司山东济南石油分公司等单位负责保障水、电、气、油供应。市财政部门负责做好抗洪抢险、抗旱救灾资金保障。
8.2应急队伍保障
解放军、武警部队、公安、消防救援、民兵预备役是抢险救灾的重要力量,主要担负急、难、险、重抢险任务。各级政府应当组建以民兵预备役为骨干的群众抢险救灾队伍,或由部门设立专业抢险救灾队伍。镇(街道)、村(居)应当视情组织群众参加抗洪救灾。
8.3通信与信息保障
济南通信网络保障中心负责保障防汛抗旱现场和各级防指通讯畅通。各级防指按照以公用通信网为主的原则,合理组建防汛抗旱专用通信网络,组织新闻媒体及时播发、刊登防汛抗旱信息。防洪排涝抗旱设施管理单位必须配备通信设施。
8.4交通运输保障
交通运输部门负责保障抢险救灾、人员转移、物资运输的车辆调配工作;公安交通管理部门负责保障抢险救灾、人员转移、物资运输车辆畅通,必要时实行交通管制。
8.5物资保障
各级党委、政府及有关部门(单位)应当按照分级储备、分级管理、统一调配、合理负担和“宁可备而不用、不可用而不备”的原则建设物资仓库,储备足够数量的防汛抗旱物资、器材设备,必要时征用社会物资与设备。
8.6人员转移保障
人员转移工作由各级党委、政府牵头,各有关部门(单位)协助实施。各区县、镇(街道)、村(居)按照预案确定的工作流程、转移路线、安置地点做好人员转移安置工作。
9预案管理
9.1编制与实施
本预案由市防指办公室负责组织编制,根据实际情况变化适时修订,并按程序报批。
与防汛抗旱工作密切相关的部门(单位)应当制定相应的防汛抗旱应急预案,并报市防指备案。各区县可参照编制本级防汛抗旱应急预案。
9.2宣传、培训与演练
各级防汛抗旱部门应当充分利用电视、广播、报纸等媒体宣传防汛、抗旱、避险、自救、互救等知识,针对低洼地区、铁路立交道、易行洪道路、病险水库、地质灾害防范区等重点区域,加大宣传力度,增强周边居民的防汛意识和避险技能。
培训实行分级负责的原则,每年汛前至少组织1次培训,重点对指挥调度人员、抢险救灾人员、防汛抗旱业务人员、水利工程防汛“三个责任人”(行政责任人、技术责任人、巡查责任人)实施培训,提高专业技能和抢险救灾能力;每年至少组织1次应急演练,可组织综合性应急演练,也可针对城区铁路立交道、低洼地区、水库、头顶塘坝、河道等重点风险部位开展专业性应急演练,应急演练可采取桌面推演、现场演练等方式进行。
10奖励与责任追究
对在防汛抗旱工作中做出突出贡献的先进集体和个人,按规定予以表扬;对在防汛抗旱工作中英勇献身的,按规定授予相应荣誉称号;对在防汛抗旱工作中致伤致残的,按规定给予工作生活照顾。对在防汛抗旱工作中玩忽职守造成损失的,依法依规追究责任。
11附则
11.1名词术语定义
暴雨蓝色预警信号:预计济南市市区国家级气象观测站或者全市30%以上气象观测站12小时降雨量将达50毫米以上,或者已达50毫米以上且降雨可能持续。
暴雨黄色预警信号:预计济南市市区国家级气象观测站或者全市30%以上气象观测站6小时降雨量将达50毫米以上,或者已达50毫米以上且降雨可能持续。
暴雨橙色预警信号:预计济南市市区国家级气象观测站或者全市30%以上气象观测站3小时降雨量将达50毫米以上,或者已达50毫米以上且降雨可能持续。
暴雨红色预警信号:预计济南市市区国家级气象观测站或者全市30%以上气象观测站3小时降水量将达100毫米以上且其中有观测站1小时降水量超过50毫米,或者已达100毫米以上且其中有观测站1小时降水量超过50毫米,降雨可能继续。
洪涝灾害:因降雨、融雪、冰凌、溃坝造成的洪水、渍涝灾害和由暴雨造成的山洪、泥石流等灾害。
主要河湖:指济南市的小清河、大汶河、徒骇河、德惠新河等4条河道及白云湖、芽庄湖(部分)。
中型河道:主要指玉符河、绣江河、北大沙河、南大沙河、漯河、巨野河、汇河、临商河、商中河、商东河、大寺河、沙河、齐济河、锦绣川、锦阳川、嬴汶河、方下河、辛庄河等。
大中型水库:指济南市的雪野水库、卧虎山水库、锦绣川水库、狼猫山水库、乔店水库、大冶水库、杨家横水库、大站水库、杜张水库、垛庄水库、杏林水库、石店水库、崮头水库、钓鱼台水库、鹁鸽楼水库、沟里水库、公庄水库、葫芦山水库、东风水库。
主城区主要河道:指济南市小清河、兴济河、工商河、东洛河、西洛河、柳行河、全福河、龙脊河、韩仓河、大辛河等河道。
农业旱情:耕地或农作物受旱情况,即土壤水分供给不能满足农作物发芽或正常生长要求,导致农作物生长受到抑制甚至干枯的现象。
城市旱情:因旱导致城市居民和工商企业缺水的情况,包括缺水历时及程度等。
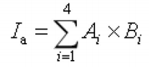
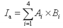
区域农业旱情指数:区域农业旱情指数按下列公式计算:
式中:Ⅰa——区域农业旱情指数(指数区间为0~4);
i——农作物旱情等级(i=1、2、3、4依次代表轻度、中度、严重和特大干旱);
Ai——某一旱情等级农作物面积与耕地总面积之比(%);
Bi——不同旱情等级的权重系数(轻度、中度、严重和特大干旱的权重系数Bi分别赋值为1、2、3、4)。
因旱临时性饮水困难:是指由于干旱造成城乡居民临时性饮用水困难,属于长期饮水困难的不应列入此范围。即由于干旱,导致人、畜饮水的取水地点被迫改变或基本生活用水量北方地区低于20升人·天、南方地区低于35升人·天,且持续15天以上。因旱牲畜饮水困难标准可参考其他标准。在统计牲畜饮水困难时要将羊单位按51比例换算为大牲畜单位。
11.2预案解释部门
本预案由市防指办公室负责解释。
11.3预案实施时间
本预案自印发之日起实施,2022年7月8日印发的《济南市防汛应急预案》(济政办字〔2022〕31号)和2011年4月6日印发的《济南市抗旱应急预案》(济政办发〔2011〕11号)同时废止。
附件:市防指各成员单位职责
附件
市防指各成员单位职责
济南警备区:负责协调驻济有关部队、组织指挥民兵参加抢险救灾工作,协助地方政府转移和救援群众;其他防汛抗旱任务。
市委宣传部:负责指导协调全市防汛抗旱工作宣传、新闻发布和舆论引导工作,指导发生灾情的地方和相关部门(单位)做好新闻发布和舆论引导调控工作;协调新闻媒体做好防汛抗旱工作新闻宣传,积极开展防汛抗旱知识普及和公益宣传;协调新闻媒体及时向公众发布汛情旱情预警、防汛抗旱应急响应等信息;其他防汛抗旱任务。
市委网信办:负责做好洪涝干旱灾害舆情引导调控工作,会同相关部门(单位),线上线下联动,积极防范化解涉灾重大网络舆情风险;按照统一部署,协调网络媒体及时向公众发布汛情旱情预警、防汛抗旱应急响应等信息;其他防汛抗旱任务。
市发展改革委:负责积极协助相关项目建设单位争取防灾减灾救灾省以上投资支持;指导协调重大防汛抗旱工程、水毁工程及抗旱应急水源工程等政府投资项目的立项审批上报工作;统筹协调全市煤电油气运保障工作,组织煤、电、油、气以及其他重要物资的紧急调度和交通运输综合协调;负责全市市场价格的监测、预警,拟定价格干预措施并组织实施;其他防汛抗旱任务。
市教育局:负责组织、协调和指导本系统的防汛抗旱工作,保障师生人身安全;组织开展师生避险转移、防汛抗旱安全知识宣传教育和培训演练,培养学校师生的安全意识、节水意识,提高自我防护能力;做好校舍设施安全隐患排查整治工作,提前组织受威胁区、危险区师生转移并妥善安置,协助提供受灾人员转移安置场所;其他防汛抗旱任务。
市工业和信息化局:配合协调防汛抗旱抢险救援有关应急产品的生产组织;其他防汛抗旱任务。
市公安局:负责维护灾区社会治安秩序,依法打击造谣惑众和盗窃、哄抢防汛抗旱物资以及破坏防洪抗旱设施的违法犯罪活动,协助有关部门(单位)妥善处置因防汛抗旱引发的群体性治安事件,协助组织群众从危险地区安全撤离或转移,协助做好抢险救灾通行工作;其他防汛抗旱任务。
市财政局:负责筹集落实防汛抗旱经费并监督使用;其他防汛抗旱任务。
市自然资源和规划局:负责全市地质灾害防治工作,指导地质灾害调查评价、专业监测和预报预警等工作;承担地质灾害应急救援的技术支撑工作;协调重大防洪工程建设、蓄滞洪区、应急抗旱水源工程建设、灾后重建等建设项目所需临时性用地的依法审批工作;负责防洪工程中河道蓝线的划定;其他防汛抗旱任务。
市住房城乡建设局:负责指导建筑企业做好房屋建筑工程的安全度汛工作,指导、协调全市在建房屋建筑工地、燃气和供热工程防汛抢险救灾工作;指导灾区开展因灾毁损房屋的安全性鉴定、修复;指导直管公房经营管理单位对直管公房实施维修、加固、管理及倒塌房屋抢修工作;指导农村住房建设、农村住房安全和农村低收入群体危房改造;其他防汛抗旱任务。
市城管局:负责雨前及时清扫和运输道路上的垃圾杂物;雨后及时清扫道路,尽快恢复路面清洁;协调洒水车等专业车辆参与抗旱运水;其他防汛抗旱任务。
市交通运输局:负责承担防汛抗旱工作的交通运输保障,协调解决交通运输保障中的相关问题,检查、督促有关单位做好所辖水运和桥梁、隧道、公路等交通运输基础设施防洪安全隐患排查、抢修等,维护公共交通运营秩序,及时调配运力,妥善疏导滞留旅客;做好国省干线公路、城市道路及桥梁等在建工程安全度汛工作,在紧急情况下责成项目业主(建设单位)及时清除阻碍行洪设施;优先运送防汛抗旱、防疫人员和物资、设备;为紧急抢险和撤离人员及时组织提供所需车辆、船舶等运输工具,保障防汛抗旱指挥车辆、抢险救灾车辆公路畅通;汛期督促船舶航行服从防洪安全要求;其他防汛抗旱任务。
市水务局:负责防洪除涝工程的安全运行管理,及时提供水情、工情、险情和旱情信息;负责水利工程调度,统一合理调配抗旱水源,充分发挥现有水利工程效益;指导做好城市供水,协调落实城市应急供水;协调组织为特困灾区运送生活用水,及时掌握城乡人畜饮水困难、河道来水、灌溉、蓄水等水情、旱情信息 ;组织编制重要河道、湖泊(水库)和重要水利工程防御洪涝抗御旱灾调度和应急水量调度方案,按程序报批并组织实施;承担水情、旱情监测预警以及防御洪水和城市内涝排水的技术支撑工作;组织防洪除涝工程应急度汛、水毁工程的修复工作以及抗旱应急水源工程建设;其他防汛抗旱任务。
市农业农村局:负责农业防灾、减灾和救灾工作;监测农业灾情,及时报送市防指;协调种子、化肥等救灾物资储备和调拨;提出生产救灾资金安排建议,指导农业紧急救灾、农业抗旱减灾技术服务和灾后生产恢复;指导区县做好农业抗旱和农田排涝工作;指导做好渔船和水产养殖防汛避风安全生产工作;负责农产品(不含畜产品)质量安全监督管理。指导粮食等农产品生产和农业生产节约用水工作。组织、监督农业植物和水生动植物防疫检疫有关工作;开展农业土壤墒情监测;其他防汛抗旱任务。
市园林和林业绿化局:负责指导、协调国有林场及苗圃的防汛抗旱救灾、生产恢复工作;督促区县有关部门(单位)及时做好城市绿地枯死倒伏树木的清理工作;督促所辖公园、景区做好汛期河道和排洪口漂浮物清理及园林绿地枯死倒伏树木的清理工作;督导城区山体绿化提升和山体公园建设工程防汛安全工作;其他防汛抗旱任务。
市商务局:负责协调灾区群众和救灾人员重要生活必需品应急调度供应;掌握储备单位生活必需品的库存情况,以便应急调用;其他防汛抗旱任务。
市文化和旅游局:负责旅游安全应急综合协调和监督管理;指导各级文化旅游部门协助提供受灾人员转移安置场所;协助有关部门指导A级景区汛期安全管理工作,协助有关单位指导A级景区开展应急救援工作;其他防汛抗旱任务。
市卫生健康委:负责组织医疗救治、抢救伤员,做好病媒生物防治工作;做好饮用水卫生监督、检测工作,预防控制疫病暴发流行;其他防汛抗旱任务。
市应急局:承担市防指日常工作;负责组织协调重大水旱灾害应急救援工作;统一协调全市应急救援队伍,统筹应急救援力量建设。负责组织协调较大洪涝灾害及次生地质灾害的防汛抢险、险情处置工作;组织指导协调灾情(含人员伤亡)核查统计上报、损失评估、灾害救助等工作,依法统一发布灾情信息;会同有关方面组织协调紧急转移安置受灾群众和灾害救助,组织协调重要应急物资的调拨和紧急配送,管理、分配和监督使用救灾款物;其他防汛抗旱任务。
市市场监管局:负责做好防汛抗旱突发事件发生期间价格监管工作,依法严厉打击哄抬物价、囤积居奇等违法行为,保证市场秩序稳定;其他防汛抗旱任务。
市国动办:负责指导协调公共人防工程的险情处置、应急救援和积水排除,确保人防工程安全度汛;根据市防指指令,利用防空警报参与发布城市防汛红色预警和一级应急响应启动信号;其他防汛抗旱任务。
济南广播电视台:负责防汛抗旱抢险救灾工作的宣传报道,按市防指要求及时向公众发布雨情、水情、工情、旱情、灾情及防汛抗旱预警、应急响应等信息,报道防汛抗旱救灾活动,向社会宣传防汛抗旱、抢险和自救知识;其他防汛抗旱任务。
市水文中心:承担全市雨情、水情、墒情的监测及报汛工作。负责重点河道、水库的洪水预报,对外发布雨情、水情、墒情等信息;其他防汛抗旱任务。
市公安局交警支队:负责城市低洼易涝路段的交通管制、车辆人员疏导等工作;负责组织防汛抗旱道路管制、现场道路封闭警戒、交通秩序维护疏导;会同交通运输部门做好因降雨、台风等引发交通安全突发事件应急处置;其他防汛抗旱任务。
济南通信网络保障中心:负责协调各基础电信运营企业和铁塔公司做好抢险现场公众通信网络保障工作;其他防汛抗旱任务。
济南城市投资集团有限公司、济南城市建设集团有限公司:负责做好所属建设工程防洪排涝设施的规划、设计、建设与验收,以及区域性排水系统的完善与提升;做好既有防洪排涝设施保护;做好跨汛期施工工程的施工安全工作;编制防汛应急预案并组织演练;其他防汛抗旱任务。
济南轨道交通集团有限公司:负责协调轨道交通集团在建工程相关责任单位做好安全度汛工作;编制轨道交通集团防汛应急预案并组织相关责任单位进行演练;做好轨道交通汛期安全运营工作;其他防汛抗旱任务。
济南文旅发展集团有限公司:负责所属景区汛期安全管理工作;做好所属护城河及所属公园、景区内河道、湖泊的清淤和河岸维护工作;负责护城河和大明湖水位调节闸启闭;其他防汛抗旱任务。
武警济南支队:负责组织指挥所属武警部队参加抢险救灾工作,协助地方政府转移和救援群众;其他防汛抗旱任务。
市消防救援支队:负责组织指挥各级消防救援队伍参加应急抢险救援工作,承担抗洪抢险、营救转移群众、物资转移等重大任务;根据抗旱减灾工作进展情况,负责应急拉水、送水任务;其他防汛抗旱任务。
市气象局:负责提供天气气候监测和预测预报工作,从气象角度对影响汛情旱情的天气形势和降水等进行监测、分析和预测预报;及时对重要天气形势和灾害性天气作出预警和滚动预报,并向市防指及有关成员单位提供气象信息,参与重大气象灾害应急处置;适时组织实施人工增雨作业;其他防汛抗旱任务。
济南黄河河务局:负责济南段黄河工程行业日常管理,密切监测黄河防洪工程的运行安全状况;负责起草济南市黄河防洪预案;及时提供黄河汛情、工情及险情等信息,做好防洪调度;制定并监督实施济南市黄河防汛抗旱措施;组织开展黄河花园口站与泺口站流量均低于4000立方米每秒且无漫滩、无重大险情时防洪工程应急处理和水毁工程修复;负责黄河抗洪抢险的技术指导,协同做好大洪水时黄河防汛抢险工作;根据济南市沿黄各区县用水需求,依法依规调整引黄指标,使有限的黄河水资源发挥最大的社会效益;其他防汛抗旱任务。
中国铁路济南局集团济南工务段:负责所辖铁路设施的防洪安全和损毁铁路设施抢修;督促相关单位清除铁路建设中的碍洪设施;协调各类防汛抗旱物资铁路的应急运输;做好铁路系统各项防汛抗旱工作;其他防汛抗旱任务。
国网济南供电公司、国网莱芜供电公司:负责所辖电力设施防汛安全,做好日常供电线路检修,应急提供移动成套发电设备,保障抗洪抢险抗旱救灾的电力供应;其他防汛抗旱任务。
中国石化销售股份有限公司山东济南石油分公司:负责筹集储备防汛抗旱所需的柴油、汽油等燃料;其他防汛抗旱任务。
南水北调东线山东干线济南管理局:负责做好南水北调东线山东干线济南段工程的防汛安全生产工作;根据南水北调工程调度运行规定和要求,配合干线沿岸应急排涝抗旱任务;其他防汛抗旱任务。

